数学建模社区-数学中国

标题: 级数化简求助 [打印本页]

作者: zawzawq    时间: 2013-4-3 04:27
标题: 级数化简求助
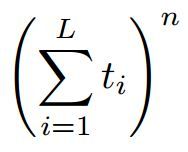
如图所示级数:

其中t_i为[0,1]内实数,n为整数,m_i均为整数且0<=m_i<=n,因为有所以显得复杂难算,看起来形式规整所以感觉可以化去,刚开始凭着直觉,以为这是的展开式,后来发现不对,因为多计算了很多重复项,比如L=2,n=3时,t_1*t_1*t_2和t_1*t_2*t_1和t_2*t_1*t_1是一样,在原级数中算一次,但是在算了三次,导致比原级数大很多。说明这个思路是错的。

仔细想了另外几个思路,都没法甩开得到简洁的形式,故来求助,望解答。非常感谢。





欢迎光临 数学建模社区-数学中国 (http://www.madio.net/) Powered by Discuz! X2.5