数学建模社区-数学中国

标题: 1220截图看过来 醒醒吧!减肥为何频频失败?(附送体重模拟器地址以及大量视频和图... [打印本页]

作者: 吃苹果的梨    时间: 2015-12-20 17:27
标题: 1220截图看过来 醒醒吧!减肥为何频频失败?(附送体重模拟器地址以及大量视频和图...

我曾经在某则报导中看见,有人建议将肥胖列为传染病。没错,就是那种打喷嚏不遮嘴巴,旁边同学隔天就会请病假的传染病。据说有胖朋友,你肥胖的机率也会增加。想想这也不是很难理解的事,整天有人在一旁吃炸鸡排配珍珠奶茶,你还能心平气和地啃菜叶子吗?肥胖是本世纪的问题,是科技促成粮食产量大幅提高的副作用。1975年到2005年间,美国人每日摄取的热量增加了1000千卡,平均体重则增加9千克。但运动呢,很显然在谷歌眼镜尚未普及时,人们依然很难将屁股从电脑前移开。肥胖的理由很简单,人体会依据吸收能量与消耗能量,来调整新陈代谢与身体组织。当吸收的能量(Energy Intake,EI)太多,消耗的能量(Energy Expenditure,EE)太少时,中间的差额就是你肚子上的那一圈儿。我们在此介绍一款在线的体重模拟器</a>(Body Weight Simulator)软件。 这个模拟器告诉你想在X天内减肥Y千克,饮食跟运动习惯该如何调整,可不是简单的1千克含几千卡热量所以减肥几千克要少吃几千卡这种简单的四则运算。现在,我们进一步来看这个体重模拟器背后的原理。也就是减肥成功与否的原因!减肥首先要做的就是降低吸收的能量,或增加消耗的能量,而脂肪(F)跟肌肉(L)的变化量(微分)与吸收的能量减去消耗的能量成正比,这个关系可以用下式表示:<br>


<br>其中,F跟L分别代表示脂肪和肌肉,ρ是每千克脂肪/肌肉所储存的能量,ρF约是ρL的5倍。也就是说,增减一千克的肌肉,需要的能量是增减一千克脂肪的五倍。撇开其他太复杂的变数不提,当一个人体重维持定值时,表示一切达到平衡,微分项皆为0。吸收能量与消耗能量相减也会相等。每个人脂肪,则可以依据性别、身高(Height,H)、体重(Body Weight,BW)、还有年纪(age)来计算:<br>


<br>以身高1.6米、体重50千克的一位25岁女孩子来说,算出来是10.13千克;但如果多了5岁,那就多了350克,验证了一句话,岁月不饶人。再来看脂肪跟肌肉是如何消耗能量的:</p><br><p style="line-height: 30px; text-indent: nullem; text-align: left;">


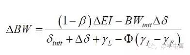
<br>可以看见,消耗的能量除了跟一些基本参数(K、TEF、AT)有关外,最重要的就是跟脂肪和肌肉现有的质量(F、L)以及变化量(微分项)有关。对应的加权参数γL是γF的7倍,也就是说,同样质量的肌肉,尽管储存能量较少,但单位肌肉消耗的能量,却是)。ηL与ηF只差了1.3倍左右。η跟γ相差了几十倍,表示改变肌肉或脂肪重量时,需要消耗的能量远比维持每天生活的能量要来的多。根据传统线性模型,1天减少480千卡节食策略的100千克胖子,他会以每年减少22千克的幅度下降。但实际上,根据更精确的模型指出,很抱歉,他最终只能瘦25千克,而且这会在10年内才完成。听起来真沮丧,比陈奕迅的《十年》听起来还让人伤心。别伤心的太早,因为第1年就能瘦一半,减到88千克;而3年内则可以瘦到76.25千克;最后7年瘦1.25千克。还算是可以接受吧。这个真实的模型告诉我们,一般人无法达到减肥计划,不是计划的错,而是传统线性模型的错。遗憾的是因为线性模型够简单,所以被广泛使用,结果正确不正确反而是其次的了。这个预估约有正负5%的误差。也就是说最差的情况下,他最后可能只瘦到79千克,而最好的情况下将会是个71千克的瘦子,真好!!接着,比较不同体重的人,采取同样减肥策略的效果。尽管一开始的减肥效果相同,但过了一个时间后,体重比较重的人会继续瘦下去,体重较轻的人会趋缓。因为比较重的人原本就需要比较多的能量来维持运作,特别是肌肉部分。但当能量减少时,先减少的是脂肪,保留下来的较多的肌肉,会造成他的减肥效果更好。但相对来说,需要较长的时间才能得到平衡。我们可以用下面的式子来解释最后的体重变化(ΔBW):<br>


<br>其中Φ跟减重前的脂肪(F)成正比,因为γL>γF,F越大,Φ越大,分母越小,减少的体重越多;ΔEI则是减少的能量摄取,摄取能量越少,越能减肥。另外,这个公式也记录了运动效果δ。δinit是减肥前的运动强度,Δδ则是减肥时增加的运动强度。可以看见一开始就运动的人,在同样的节食效果下,反而会有比较差的减肥成果;而原本比较胖的人,因为分子BWinit较大,使用运动减肥也会有比较好的效果。所以如果你已经在跑步了,但还是胖胖的(比如我),那就得有点担心了。最后,很有趣的是,发明这套体重模拟器的团队还发表了参与实验的小胖子们最常出现的减肥模式——先厉行节食策略一阵子(下图黑色实线),再慢慢松懈,在九个月左右彻底放弃。反应在体重上(上图蓝色实线)就是前六个月体重大幅降低,但之后因为松懈节食,且能量消耗因为一开始的节食而降低,所以体重不再减少,最后又慢慢增加回去。<br>


<br>上图:体重变化量(蓝色实线)、体重变化量范围(蓝色虚线)随时间变化曲线;下图:能量摄入(黑色实线)、能量消耗(红色实线)、能量消耗的置信区间(红色虚线)随时间变化曲线。</p><br><p style="line-height: 30px; text-indent: nullem; text-align: left;">看来,最终极的体重模拟器,似乎得把人的惰性以及居住地周围盐酥鸡摊的密度给考虑进去,才能真正地模拟我们的体重变化。只是那样的结果好像不模拟也都可以知道了。</p><br>[/hide] <br>答应大家的资料:<br>

视频:<br><font color="#225599"><a href="http://v.163.com/movie/2013/5/E/1/M8TBLASMF_M8TBLJSE1.html" target="_blank">关于减肥你应该知道的十件事</a></font> :<a href="http://v.163.com/movie/2013/5/E/1/M8TBLASMF_M8TBLJSE1.html" target="_blank">
[url=]http://v.163.com/movie/2013/5/E/1/M8TBLASMF_M8TBLJSE1.html</a><br>[/url]
图书:<br><a href="http://pan.baidu.com/s/1nt0VLCP" target="_blank">
[url=]http://pan.baidu.com/s/1nt0VLCP</a><br><p[/url]
style="line-height: 30px; text-indent: nullem; text-align: left;">






作者: 周游    时间: 2015-12-20 17:29
1209周游 224015685

Screenshot_2015-12-20-17-26-46-916.jpeg.JPG (38.11 KB, 下载次数: 125)

Screenshot_2015-12-20-17-26-46-916.jpeg.JPG


作者: 笑傲群芳    时间: 2015-12-20 17:29
1204王亮1815741800

Screenshot_2015-12-20-17-30-32.png (534.49 KB, 下载次数: 210)

1204王亮1815741800

1204王亮1815741800


作者: hxm123    时间: 2015-12-20 17:30
1212候小梅15226660440

截屏_2015-12-20-17-30-05.png (326.41 KB, 下载次数: 240)

截屏_2015-12-20-17-30-05.png


作者: bounceWei    时间: 2015-12-20 17:30
1204未志胜2229034166

S51220-173051.jpg (503.05 KB, 下载次数: 226)

S51220-173051.jpg


作者: 葛颖琦    时间: 2015-12-20 17:32
1204葛颖琦771709010

QQ图片20151220173253.jpg (270.84 KB, 下载次数: 233)

QQ图片20151220173253.jpg


作者: nucchenyu    时间: 2015-12-20 17:32
本帖最后由 nucchenyu 于 2016-2-10 18:40 编辑

统计完我就删掉了
作者: 1205毛林梦    时间: 2015-12-20 17:32
1205毛林梦771057736 IMG_20151220_172644.png




作者: zlgybz    时间: 2015-12-20 17:32
1213张中汉571303269

Screenshot_2015-12-20-17-32-54.png (257.63 KB, 下载次数: 214)

Screenshot_2015-12-20-17-32-54.png


作者: 1204秦昕    时间: 2015-12-20 17:32
1204  秦昕  594891169

截屏_20151220_173532.png (353.29 KB, 下载次数: 188)

截屏_20151220_173532.png


作者: gongwei    时间: 2015-12-20 17:33
1204龚威542390875

Screenshot_2015-12-20-17-30-38.png (747.19 KB, 下载次数: 142)

Screenshot_2015-12-20-17-30-38.png


作者: wyatt    时间: 2015-12-20 17:34
1204胡希刚879138218

Screenshot_2015-12-20-17-33-55.png (736.03 KB, 下载次数: 129)

Screenshot_2015-12-20-17-33-55.png


作者: 陈绍华    时间: 2015-12-20 17:35
Q563943458

QQ图片20151220173415.jpg (130.58 KB, 下载次数: 139)

QQ图片20151220173415.jpg


作者: 1209尹恒    时间: 2015-12-20 17:36
1209尹恒       1015981286

S51220-173600.jpg (688.79 KB, 下载次数: 135)

S51220-173600.jpg


作者: 恰到好处的幸福    时间: 2015-12-20 17:37
1208王航航2286178415

Screenshot_2015-12-20-17-37-08.png (865.26 KB, 下载次数: 141)

Screenshot_2015-12-20-17-37-08.png


作者: 北极星的坚守    时间: 2015-12-20 17:38
1209许鑫1009308576

IMG_20151220_173740.jpg (118.09 KB, 下载次数: 121)

IMG_20151220_173740.jpg


作者: 1204张冉冉    时间: 2015-12-20 17:39
1204张冉冉284655260

-2d4e7549de44aef4.jpg (147.39 KB, 下载次数: 120)

-2d4e7549de44aef4.jpg


作者: 北极星的坚守    时间: 2015-12-20 17:40
好贴好膏药
作者: 赵小平    时间: 2015-12-20 17:40
1206赵小平1165772354 Screenshot_2015-12-20-17-38-11.jpg



作者: 1204李建辉    时间: 2015-12-20 17:42
1204李建辉1501483960

S51220-174149.jpg (542.92 KB, 下载次数: 119)

S51220-174149.jpg


作者: 1209钱汪亮    时间: 2015-12-20 17:44
本帖最后由 1209钱汪亮 于 2018-8-5 20:40 编辑

1208钱汪亮

0058F5CF3E04E22EDB4FE56A0DF9A57A.jpg (110.34 KB, 下载次数: 123)

0058F5CF3E04E22EDB4FE56A0DF9A57A.jpg


作者: 1204李建辉    时间: 2015-12-20 17:44
1204李建辉1501483960

S51220-174149.jpg (542.92 KB, 下载次数: 132)

S51220-174149.jpg


作者: H1314    时间: 2015-12-20 17:44
1204侯艳强895833130

Screenshot_2015-12-20-17-38-06.png (700.4 KB, 下载次数: 153)

Screenshot_2015-12-20-17-38-06.png


作者: 1207杨磊    时间: 2015-12-20 17:45
1207 杨磊 qq 937942629

Screenshot_2015-12-20-17-42-01-11.png
作者: 1212怀念    时间: 2015-12-20 17:47
1209朱锐伙584663903 Screenshot_2015-12-20-17-46-08.png


作者: 18093447073    时间: 2015-12-20 17:51
1204刘宁2224344629

Screenshot_2015-12-20-17-48-08.png (542.91 KB, 下载次数: 143)

Screenshot_2015-12-20-17-48-08.png


作者: 1209关兵    时间: 2015-12-20 17:51
1209关兵997625145 Screenshot_2015-12-20-17-52-10.jpg
作者: 1209关兵    时间: 2015-12-20 17:53
1209关兵997625145 Screenshot_2015-12-20-17-54-19.jpg
作者: 1204罗利萍    时间: 2015-12-20 17:56
1204罗利萍+2577573201 Screenshot_2015-12-20-17-57-14.png



作者: zwjiayoupp    时间: 2015-12-20 17:57
1204张婉1797796520

24807446723416012.jpg (136.62 KB, 下载次数: 150)

24807446723416012.jpg


作者: 1209李守金    时间: 2015-12-20 17:57
1209李守金575816409

Screenshot_2015-12-20-17-54-50.png (173.85 KB, 下载次数: 100)

Screenshot_2015-12-20-17-54-50.png


作者: 国偶誌    时间: 2015-12-20 17:57
本帖最后由 国偶誌 于 2015-12-22 16:52 编辑

1209 吕志伟 1151204332
4C5A7BFD62F7E64FBE5CB76C3ADE6CFA.jpg
作者: 1195654923    时间: 2015-12-20 17:59
1208孙美琪1195654923

截屏_20151220_173721.png (665.4 KB, 下载次数: 127)

截屏_20151220_173721.png


作者: 1205张帅    时间: 2015-12-20 18:03
1205张帅+qq1830979079

QQ图片20151003114635.png (908.22 KB, 下载次数: 104)

QQ图片20151003114635.png


作者: 1205张帅    时间: 2015-12-20 18:03
1205张帅+qq1830979079
作者: 卑劣的街头    时间: 2015-12-20 18:05
1206胡冰清742777185

876101743307194000.png (317.87 KB, 下载次数: 90)

876101743307194000.png


作者: 3Crystal    时间: 2015-12-20 18:09
1204+920733072+刘欣宇

Screenshot_2015-12-20-18-05-36.png (651.32 KB, 下载次数: 108)

Screenshot_2015-12-20-18-05-36.png


作者: bingshuijingq    时间: 2015-12-20 18:09
1204邢冰987361541
Screenshot_2015-12-20-18-08-58.png
作者: 1206冯松    时间: 2015-12-20 18:12
1205冯松969931146

Screenshot_2015-12-20-18-05-55.jpg (589.82 KB, 下载次数: 96)

Screenshot_2015-12-20-18-05-55.jpg


作者: mfwasd    时间: 2015-12-20 18:15
1204龚玉林 609669746

Screenshot_2015-12-20-18-13-24.png (532.51 KB, 下载次数: 90)

Screenshot_2015-12-20-18-13-24.png


作者: 1205-于静    时间: 2015-12-20 18:15
截屏_20151220_173641.png 1205-于静qq2943875286
作者: 1206张莉    时间: 2015-12-20 18:17
1206张莉1751606542 截屏_20151220_172714.png

作者: 1212张喜旺    时间: 2015-12-20 18:18
1212张喜旺1325069540

wp_ss_20151220_0001.png (392.73 KB, 下载次数: 100)

wp_ss_20151220_0001.png


作者: niezhixin    时间: 2015-12-20 18:20
1204聂志鑫446796494
作者: niezhixin    时间: 2015-12-20 18:21
1204聂志鑫446796494

Screenshot_2015-12-20-18-19-14-413.png (375 KB, 下载次数: 149)

Screenshot_2015-12-20-18-19-14-413.png


作者: 1208吴自勇    时间: 2015-12-20 18:23
1208吴自勇
qq 920292590

2015 12 20.jpg (488.21 KB, 下载次数: 106)

1208吴自勇

1208吴自勇


作者: 1209贾红飞    时间: 2015-12-20 18:26
数学还能和减肥有关,真是数学是科学之王

20151220--1209贾红飞QQ1342054842.jpg (126.64 KB, 下载次数: 104)

20151220--1209贾红飞QQ1342054842.jpg


作者: yfl    时间: 2015-12-20 18:29
1205-俞发龙  1908799015
824C28114AA19149DCB8ABDE5B8E706E.jpg



作者: 二重积分    时间: 2015-12-20 18:33
12066谭莉+980272725

截屏_20151220_175817.png (643.99 KB, 下载次数: 93)

截屏_20151220_175817.png


作者: 1204苑亚奇    时间: 2015-12-20 18:34
1204苑亚奇1914078738

S51220-183008.jpg (274.05 KB, 下载次数: 106)

S51220-183008.jpg


作者: 靖业思    时间: 2015-12-20 18:38
1205     潘靖     1114983279

Screenshot_2015-12-20-18-34-46-489.png (335.83 KB, 下载次数: 107)

Screenshot_2015-12-20-18-34-46-489.png


作者: 1217胡春美    时间: 2015-12-20 18:39
1217胡春美2903862249

Screenshot_2015-12-20-18-35-46.png (502.97 KB, 下载次数: 103)

Screenshot_2015-12-20-18-35-46.png


作者: ZSC1992    时间: 2015-12-20 18:41
1204 赵善驰 1587317330

S51220-184131.jpg (779.66 KB, 下载次数: 111)

S51220-184131.jpg


作者: 1209霍金龙    时间: 2015-12-20 18:46
1209霍金龙583522969 image.jpg


作者: 1208黄泽键    时间: 2015-12-20 18:48
1218黄泽键1164047873

Screenshot_2015-12-20-18-40-09.png (284.11 KB, 下载次数: 100)

Screenshot_2015-12-20-18-40-09.png


作者: 1208张希霞    时间: 2015-12-20 18:54
1208张希霞1878487163

Screenshot_2015-12-20-18-53-23.png (950.77 KB, 下载次数: 108)

Screenshot_2015-12-20-18-53-23.png


作者: 1205巴天亮    时间: 2015-12-20 18:59
1205巴天亮986991439

Screenshot_2015-12-20-18-57-18.png (440.85 KB, 下载次数: 100)

Screenshot_2015-12-20-18-57-18.png


作者: 1204连冲    时间: 2015-12-20 19:00
截屏_2015-12-20-18-59-52.png 1204连冲876953944

作者: 五彩鸾凤    时间: 2015-12-20 19:01
1204   邵薏滢 814351343

Screenshot_2015-12-20-17-32-18.png (896.05 KB, 下载次数: 118)

Screenshot_2015-12-20-17-32-18.png


作者: Bad_girl    时间: 2015-12-20 19:11
1209杨敏572647293

S51220-190207.jpg (494.48 KB, 下载次数: 127)

S51220-190207.jpg


作者: 1216陈涛    时间: 2015-12-20 19:12
1216陈涛 2246445668
1.jpg
作者: 1204AAA    时间: 2015-12-20 19:14
1209王润泽2933105425

EBF03919262E7E82FF856E73F95694B8.jpg (107.76 KB, 下载次数: 101)

EBF03919262E7E82FF856E73F95694B8.jpg


作者: 1204孙瑞    时间: 2015-12-20 19:17
1204孙瑞1805802966

Screenshot_2015-12-20-19-16-16.png (297.8 KB, 下载次数: 93)

Screenshot_2015-12-20-19-16-16.png


作者: 1204邓万饿    时间: 2015-12-20 19:35
1204邓啓平 502029421

Screenshot_2015-12-20-19-30-47.png (1016.63 KB, 下载次数: 127)

Screenshot_2015-12-20-19-30-47.png


作者: 1212黄锡涛    时间: 2015-12-20 19:35
1212黄锡涛 1577490310

webwxgetmsgimg.jpg (282.98 KB, 下载次数: 112)

webwxgetmsgimg.jpg


作者: 醉街小女生    时间: 2015-12-20 19:41
本帖最后由 醉街小女生 于 2015-12-20 19:46 编辑

1208廖慧颖+qq1739706894

Screenshot_2015-12-20-19-44-46.png (1021.02 KB, 下载次数: 112)

Screenshot_2015-12-20-19-44-46.png


作者: 李翼飞    时间: 2015-12-20 19:42
1205李翼飞 1025033357

S51220-174250.jpg (629.32 KB, 下载次数: 103)

S51220-174250.jpg


作者: 五指间的阳光    时间: 2015-12-20 19:44
1208王长鑫248869654

S51220-194447.jpg (457.09 KB, 下载次数: 113)

S51220-194447.jpg


作者: xuchengno3    时间: 2015-12-20 19:46
1205徐城1120007006

Screenshot_2015-12-20-19-44-17.png (1.2 MB, 下载次数: 123)

Screenshot_2015-12-20-19-44-17.png


作者: 1521188082    时间: 2015-12-20 19:47
1209 成亚婷 1521188082

QQ图片20151220194926.jpg (235.96 KB, 下载次数: 103)

QQ图片20151220194926.jpg


作者: xuchengno3    时间: 2015-12-20 19:47
nucchenyu 发表于 2015-12-20 17:32
1208陈宇834007249

陈宇   哈哈
作者: 朱静怡    时间: 2015-12-20 19:50
1210朱静怡425007986

QQ图片20151220195511.png (249.67 KB, 下载次数: 72)

QQ图片20151220195511.png


作者: 1209李苗    时间: 2015-12-20 19:54
1209李苗 645617861

Screenshot_2015-12-20-19-52-32.png (681.89 KB, 下载次数: 69)

Screenshot_2015-12-20-19-52-32.png


作者: 学习在路上    时间: 2015-12-20 19:56
1204杨秋云+2215087796
Screenshot_2015-12-20-19-45-28.png

作者: 学习在路上    时间: 2015-12-20 20:02
1204杨秋云+2215087796
Screenshot_2015-12-20-19-45-28.png

作者: tangerine柑橘    时间: 2015-12-20 20:10
1204周劭颉492360030

image.jpg (370.94 KB, 下载次数: 59)

image.jpg


作者: 猫儿    时间: 2015-12-20 20:15
1210王海娜631625331

image.png (685.72 KB, 下载次数: 78)

image.png

image.png (685.72 KB, 下载次数: 73)

image.png


作者: 龙佳佳    时间: 2015-12-20 20:26
1204龙佳佳1321837269

SCR_20151220_202049.png (136.6 KB, 下载次数: 73)

SCR_20151220_202049.png


作者: 1209贺雄    时间: 2015-12-20 20:26
1209贺雄1017676602

image.jpg (186.19 KB, 下载次数: 75)

image.jpg


作者: kiiid    时间: 2015-12-20 20:28
1205何彦章1339579357

Screenshot_2015-12-20-20-28-51.png (542.68 KB, 下载次数: 67)

Screenshot_2015-12-20-20-28-51.png


作者: 齐木匠    时间: 2015-12-20 20:40
1207齐亚峰923815618 609858968625454608.jpg

作者: 机智的叉烧    时间: 2015-12-20 20:40
1209曾冠荣545281848

Screenshot_2015-12-20-20-37-21.jpg (561.89 KB, 下载次数: 65)

Screenshot_2015-12-20-20-37-21.jpg


作者: guohuilong6    时间: 2015-12-20 20:46
1220郭慧龙1211303218

Screenshot_2015-12-20-20-44-19.png (770.33 KB, 下载次数: 66)

Screenshot_2015-12-20-20-44-19.png


作者: 奔跑加油    时间: 2015-12-20 20:51
1204辛裴2360628597 1204辛裴2360628597

作者: 1204王孜伊    时间: 2015-12-20 20:57
1204王孜伊838162206

Screenshot_2015-12-20-20-43-55.png (1.87 MB, 下载次数: 62)

Screenshot_2015-12-20-20-43-55.png


作者: 百家    时间: 2015-12-20 20:58
1209  赵伟  1315753898

Screenshot_2015-12-20-19-44-00.png (532.21 KB, 下载次数: 54)

Screenshot_2015-12-20-19-44-00.png


作者: yunmushroom    时间: 2015-12-20 20:59
1205 张馨匀 576298801

IMG_6526.PNG (404.88 KB, 下载次数: 67)

IMG_6526.PNG


作者: hf126hf    时间: 2015-12-20 21:03
1205杨伟杰+QQ:1909398802
QQ图片20151220204939.jpg
作者: 季末~梦未央    时间: 2015-12-20 21:07
1204王磊1078264771 截屏_20151220_210817.png
作者: 蒋振华    时间: 2015-12-20 21:13
1204蒋振华1024393308

Screenshot_2015-12-20-20-40-07.png (478.17 KB, 下载次数: 58)

Screenshot_2015-12-20-20-40-07.png


作者: 1204张伟    时间: 2015-12-20 21:14
1204张伟+1721694862

12120张伟.jpg (160.39 KB, 下载次数: 59)

12120张伟.jpg


作者: 1204王孜伊    时间: 2015-12-20 21:14
1204.王孜伊838162206

Screenshot_2015-12-20-20-43-55.png (1.87 MB, 下载次数: 67)

Screenshot_2015-12-20-20-43-55.png


作者: 1209王金山    时间: 2015-12-20 21:18
1208王金山1655128072
SCR_20151220_203437.png
作者: 简单的空白    时间: 2015-12-20 21:24
1204    赵敏    qq:944656527

QQ图片20151220212428.png (691.8 KB, 下载次数: 42)

1204 赵敏

1204   赵敏


作者: 1208刘沙沙    时间: 2015-12-20 21:27
1208刘沙沙1105655108

Screenshot_2015-12-20-19-07-57-314.png (278.61 KB, 下载次数: 51)

Screenshot_2015-12-20-19-07-57-314.png


作者: 1205张玉    时间: 2015-12-20 21:27
1205张玉398634641

image.png (558.63 KB, 下载次数: 53)

image.png


作者: 1210蒋志维    时间: 2015-12-20 21:36
1210蒋志维 1650395057

Screenshot_2015-12-20-20-45-33.png (387.04 KB, 下载次数: 65)

Screenshot_2015-12-20-20-45-33.png


作者: darkrai    时间: 2015-12-20 21:36
1204 王竞一 382232061

image.png (476.83 KB, 下载次数: 59)

image.png


作者: nucchenyu    时间: 2015-12-20 21:37
xuchengno3 发表于 2015-12-20 19:47
陈宇   哈哈

who are you?
作者: 1204郭香妤    时间: 2015-12-20 21:39
1204 郭香妤 1691742065
Screenshot_2015-12-20-21-39-09_1450618777290.jpg





欢迎光临 数学建模社区-数学中国 (http://www.madio.net/) Powered by Discuz! X2.5