8 f# z! [% q: Y2 g- I7 G- B/ [


1 E' i6 C0 B# l- n4 Z8 o

* z( c$ n6 f8 Z7 q, }7 [
* L& I6 Z% d# x7 R1 J, C. H
E. E, C4 B+ N! p( z
2 [2 ]- b J1 W! `
8 k; {! m$ S$ L6 j" H5 \
! i6 t9 ?4 ~% O+ R7 c8 h) ^2 @
" H) x7 G, F/ {
- S" f- C6 l4 G" P# W
3 z9 h5 C7 ], T& \& I) n
: C* o5 a/ f4 w {1 H2 y
# g& F4 O; `' W F) f



; s4 A- k% M; t6 i: D* r7 ~
, M2 s" N5 ], c$ m; x6 q. w# u
& a+ {5 T0 z: W) w
3 k+ H& X7 }6 Y. m8 f$ r
4 \" Z. l0 `* x5 [



! q7 N. s& R+ k# P; ^/ i* B
j" v, x3 X* K1 ^
& y4 |. Y% \/ {( @+ A9 V, M
5 a# L: k x; V: R4 e0 M2 @3 f4 b
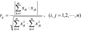
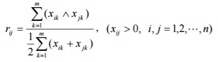
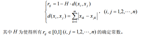
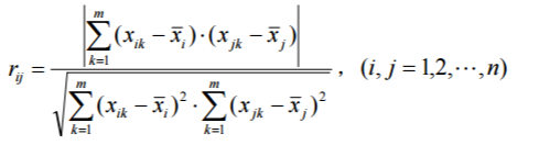
;r(:,j)']));| 欢迎光临 数学建模社区-数学中国 (http://www.madio.net/) | Powered by Discuz! X2.5 |