数学建模社区-数学中国

标题: 灰色系统理论及其应用 (四) :灰色模型 GM [打印本页]

作者: 浅夏110    时间: 2020-5-27 14:57
标题: 灰色系统理论及其应用 (四) :灰色模型 GM
灰色系统理论是基于关联空间、光滑离散函数等概念定义灰导数与灰微分方程,进 而用离散数据列建立微分方程形式的动态模型,由于这是本征灰色系统的基本模型,而 且模型是近似的、非唯一的,故这种模型为灰色模型,记为 GM(Grey Model),即灰色模型是利用离散随机数经过生成变为随机性被显著削弱而且较有规律的生成数,建立 起的微分方程形式的模型,这样便于对其变化过程进行研究和描述。; A( W; W' J) a6 k% `

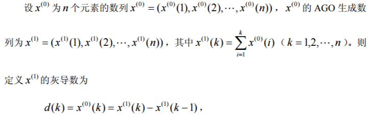
, k' C! R( `7 S; {# W$ A1  GM(1,1)模型的定义6 I' J) w. F2 y# ?
灰导数; H6 T5 d; s/ v2 ^0 u
, b3 P3 `1 Y2 @- b! H6 @/ t
3 q: M& w$ Y8 X' ]+ y8 G  f- ]
3 d1 W- K3 }( Z7 F
GM(1,1)的灰微分方程模型4 L4 u3 r1 d! G0 y' @
* K" y$ Y) I% r

6 c, Y2 b9 y4 m) H3 F9 \: F3 q% T4 t; v, `) e4 g; z
发展系数、白化背景值、灰作用量
0 k* p) a5 E; H  {参数向量的估计
: \5 q( A! t, S2 e- b) n# X# h, |1 ^3 f

  J( k- B% c& X  O7 B  l: y0 o2 E/ B" u/ B
2.GM(1,1)的白化型$ F. }- A2 R& |, Y- _) _

: O/ N1 V0 @) D+ o) X$ b! s' ?
* C6 w- V" E3 M( e5 M$ J
+ ~& P" }' W& j1 a白微分方程2 v  q# n: [" C, L$ @
+ Z4 j" M. d2 c- L5 a0 O/ z& Q
0 J) L& F: J6 M2 P

& b2 E5 ^. ^3 M值得注意的是:GM(1,1)的白化型(8)并不是由 GM(1,1)的灰微分方程直接推导出 来的,它仅仅是一种“借用”或“白化默认”。 另一方面,GM(1,1)的白化型是一个真正的微分方程,如果白化型模型精度高,则 表明所用数列建立的模型 GM(1,1)与真正的微分方程模型吻合较好,反之亦然。
8 A: @9 D! U" e7 U  P1 m" M
# V0 g7 y, w  M& y3 q  N( `  |2    GM(1, N) 模型9 H0 K( U8 n* Y( K5 B3 _% [
1.GM(1, N) 模型定义
8 T4 J. H* w7 bGM(1,1)即表示模型是 1 阶的,且只含 1 个变量的灰色模型。而GM(1, N) 即表示 模型是 1 阶的,包含有 N 个变量的灰色模型。+ K  P) l( s* H* z5 d

2 F* M5 r. A1 ]" z$ x4 P/ b# Z3 A
/ I% b, z  M- u7 J2 N# H: \4 q+ y  \( v
2 s! E& f) I" h  |' c2 ^

. C$ L- e. c, q参数的估计2 r7 Z& H5 G8 C  {4 c

& ?0 Q- I- J: @5 A( \9 ]1 d
2 }' i& y! c/ V& k( g
6 l- `4 b$ i/ q: f2.GM(1, N) 的白化型' J( s/ J- x2 [8 C, A' X& G
3 U5 U3 B% P' z" R) n) {2 J

4 w/ c- {+ [7 D7 ]" @" ?8 ?. ?6 x" A
, c4 f1 ?- `; S: K
————————————————% \! x  ~+ O3 ?) r
版权声明:本文为CSDN博主「wamg潇潇」的原创文章,遵循CC 4.0 BY-SA版权协议,转载请附上原文出处链接及本声明。# O' p! C9 K6 f9 o/ y: u7 ]
原文链接:https://blog.csdn.net/qq_29831163/article/details/89713860
& @4 ?' ~: m9 A5 S' v8 f
7 I# N& _& p; p, t' @9 @0 ]& A/ F  |





欢迎光临 数学建模社区-数学中国 (http://www.madio.net/) Powered by Discuz! X2.5