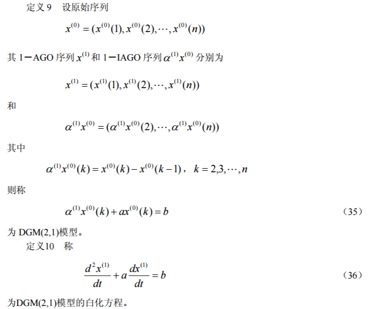
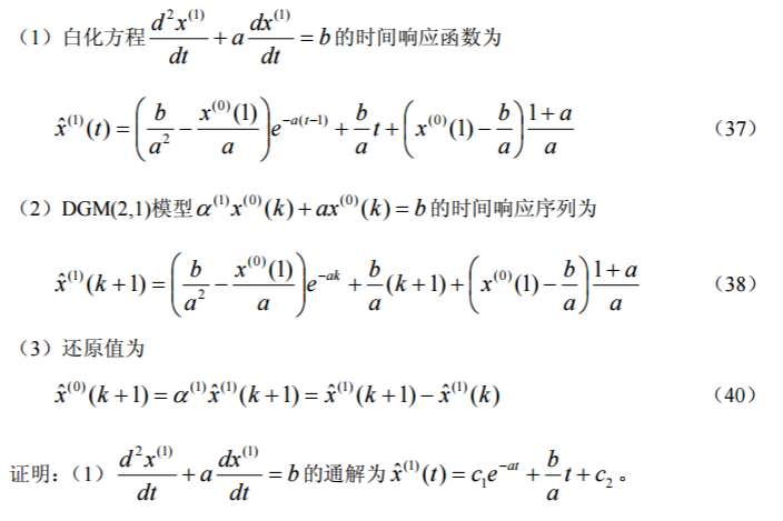
数学建模社区-数学中国
标题: 灰色系统理论及其应用 (八) :GM(2,1)和 DGM 模型 [打印本页]
作者: 浅夏110 时间: 2020-5-28 10:14
标题: 灰色系统理论及其应用 (八) :GM(2,1)和 DGM 模型
GM(1,1)模型适用于具有较强指数规律的序列,只能描述单调的变化过程,对于非单调的摆动发展序列或有饱和的 S 形序列,可以考虑建立 GM(2,1),DGM 和 Verhulst 模型。+ E% O: M% ?3 J$ Y8 m
4 o0 F4 W% S+ O5 g; U+ _$ D1 GM(2,1)模型


(2)齐次方程的通解有以下三种情况:
(3)白化方程的特解有以下三种情况:

例 5 上海市上网户数的 GM(2,1)模型。1996~2001 年上海市上网户数数据序列为



计算的 MATLAB 程序如下:
clc,clear, f3 ]2 c$ |2 }, F" g* {
x0=[41,49,61,78,96,104];
6 b; N5 W7 P/ Q8 en=length(x0);
) r4 K8 |2 J3 l9 Xx1=cumsum(x0)
9 b) f* ~. f2 M( q5 M4 e$ ma_x0=diff(x0);- Q: K- o* j% R t( G! e
a_x0=[0,a_x0]6 C! |4 r8 c' M2 o9 |* `8 F
for i=2:n
) L/ y+ G2 g) a9 d' I z(i)=0.5*(x1(i)+x1(i-1));; C% [3 i1 p5 K# B1 a
end
" s Z5 O) d8 \+ H" w" p5 HB=[-x0(2:end)',-z(2:end)',ones(n-1,1)];
( S+ g. }6 F7 w) j$ vY=a_x0(2:end)';" \1 ~5 H7 h2 M7 v
u=B\Y
K7 |0 P$ o- d# }x=dsolve('D2x+a1*Dx+a2*x=b','x(0)=c1,x(5)=c2');% R$ b X, n3 ^3 e
x=subs(x,{'a1','a2','b','c1','c2'},{u(1),u(2),u(3),x1(1),x1(6)});, v* n6 N; X6 r. x! l3 K' Y
yuce=subs(x,'t',0:n-1);
5 _1 {% A3 f" R5 a: _digits(6),x=vpa(x)4 t! l4 q4 m! c* o- x
x0_hat=[yuce(1),diff(yuce)]" M! M7 _) g* I. E' Y* F
epsilon=x0-x0_hat
$ I: Z5 {& b' F6 xdelta=abs(epsilon./x0)
8 l4 n# k/ J# h9 i' l
' `& `9 v! G! ?, z4 X6 x8 n2 DGM(2,1)模型




例6 试对序列建模DGM(2,1)


计算的MATLAB程序如下:
0 D5 I7 T/ z, b5 c& ?clc,clear
' \- _0 e* L, g' g3 F1 Bx0=[2.874,3.278,3.39,3.679,3.77,3.8];
# o! b8 [9 J- G% L) o; kn=length(x0);
. c& q' I! }3 t0 Ja_x0=diff(x0);# J$ N c1 x* t C8 Y0 s. W
a_x0=[0,a_x0]$ s# q9 V/ p/ V3 H; T$ y
B=[-x0(2:end)',ones(n-1,1)];/ a/ G! D$ P/ a' r
Y=a_x0(2:end)';+ [$ ?; j* A. B
u=B\Y
& L9 ~! {# D2 A+ q( ]3 Yx=dsolve('D2x+a*Dx=b','x(0)=c1,Dx(0)=c2');. c% o$ T7 B5 L
x=subs(x,{'a','b','c1','c2'},{u(1),u(2),x0(1),x0(1)});+ y8 T3 ^0 E& V( N, a( m
yuce=subs(x,'t',0:n-1);
* @: T7 m$ }. p) u6 A$ q5 ^' w& Kdigits(6),x=vpa(x)8 m" m Q" c' U3 y0 l7 H. [, `
x0_hat=[yuce(1),diff(yuce)]% k% d& f& V3 i
epsilon=x0-x0_hat) S _2 C9 W- I' ~
delta=abs(epsilon./x0)8 ]# _- ~2 h4 @4 H( l5 T# v
" k! w9 r: h. }2 P
& C7 b" d; f+ _1 p# ~6 m- T
, [2 }) ^7 W& S2 H2 g5 D/ E. F5 [: m
/ K+ E( V! @# b1 P4 E- n( c0 P9 A1 x: F9 h$ m9 b
| 欢迎光临 数学建模社区-数学中国 (http://www.madio.net/) |
Powered by Discuz! X2.5 |