数学建模社区-数学中国

标题: 差分方程模型(二):蛛网模型 [打印本页]

作者: 浅夏110    时间: 2020-6-7 16:32
标题: 差分方程模型(二):蛛网模型
在自由竞争的社会中,很多领域会出现循环波动的现象。在经济领域中,可以从自 由集市上某种商品的价格变化看到如下现象:在某一时期,商品的上市量大于需求,引 起价格下跌,生产者觉得该商品无利可图,转而经营其它商品;一段时间之后,随着产 量的下降,带来的供不应求又会导致价格上升,又有很多生产商会进行该商品的生产; 随之而来的,又会出现商品过剩,价格下降。在没有外界干扰的情况下,这种现象将会反复出现。 如何从数学的角度来描述上述现象呢?
9 R( i+ Y" z/ E
, O/ H( Q9 _: j( K9 o$ r) {9 J9 o2 模型假设:供应函数 &需求函数
; p2 S& G" w9 Y) k$ z* p6 E# z( x8 O& b  T) G

' y: j( x: Y9 L; \- D- e$ c5 R+ V" o
3 模型求解! A- t- u' v2 S( I5 Z  u$ y

1 k2 q' t  |, _0 S: {% ]" |6 T9 R9 r/ g  v- q- W* ?9 q7 U8 A  H( C6 i

# [) ]% y9 Y  N; _8 q: W% z$ n6 n0 t+ v- L, b6 u# C% S

2 a+ g  R$ `+ o' h8 o5 m  S) B0 t5 q4 A0 V6 g6 W. l1 X

. C/ \  y" D6 N  J0 C- K
0 o, L/ x  w* i0 n1 r3 g9 d  c% f. d7 A' z0 h

+ C/ `* ?( N( Q( k$ ~7 G7 J4 {' R
/ p  y3 i) M* W* E
4 d) o; X- L; U) g& a+ p
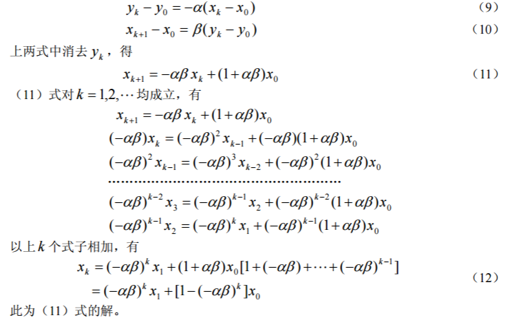
3 P3 A4 i. h: c- i$ F4 模型的修正. U4 r& y, \* M8 @/ p3 R3 H1 J

% h3 T* f$ ?% V2 p+ t4 U+ D9 z2 B: P" H) N5 s" [( q+ c

; a& x$ O% M8 I' [7 K& O. t二阶线性差分方程有稳定点的条件; A) K8 Q8 k  V8 z

, \2 |" I. a/ x6 f: d  q( C+ D" y8 q9 X% T4 Y' M

/ `0 \3 H  p8 P7 }* \3 B$ c3 A
9 c) e8 m! I8 }7 q0 }+ K6 X) E  a7 |! @4 I' \, u* B
————————————————
: a0 s1 V6 O' d, p7 E版权声明:本文为CSDN博主「wamg潇潇」的原创文章,遵循CC 4.0 BY-SA版权协议,转载请附上原文出处链接及本声明。
6 R+ X- P) x9 D! O: i8 ^原文链接:https://blog.csdn.net/qq_29831163/article/details/89646222
! W1 v9 s2 K2 r9 }5 h+ k5 B5 g2 \
- Z( @) A- M* O9 I
& N, Y3 {' x# c  j8 e




欢迎光临 数学建模社区-数学中国 (http://www.madio.net/) Powered by Discuz! X2.5