数学建模社区-数学中国

标题: 差分方程模型(三): 预测商品销售量 [打印本页]

作者: 浅夏110    时间: 2020-6-7 16:34
标题: 差分方程模型(三): 预测商品销售量
在利用差分方程建模研究实际问题时,常常需要根据统计数据并用最小二乘法来拟合出差分方程的系数。其系统稳定性讨论要用到代数方程的求根。对问题的进一步研究又常需考虑到随机因素的影响,从而用到相应的概率统计知识。; C8 E% G3 x. J/ I9 E0 T+ i( I9 I

' R- Q6 }& E& F& M1 q  s: a例 4 某商品前 5 年的销售量见表。现希望根据前 5 年的统计数据预测第 6 年起该 商品在各季度中的销售量。9 g0 A5 h2 Y7 x& r2 j
% L: c0 X) }8 d' j7 _( f. T
' j; e- Z# S6 y
2 ^( V$ h/ M$ ?9 O; ?
. ]3 T6 {8 u, r! Q

5 N6 Z, r3 j  D. G6 X8 k: Q6 B8 d, c+ g1 [/ L! k  \
从表中可以看出,该商品在前 5 年相同季节里的销售量呈增长趋势,而在同一年中 销售量先增后减,第一季度的销售量最小而第三季度的销售量最大。预测该商品以后的 销售情况,根据本例中数据的特征,可以用回归分析方法按季度建立四个经验公式,分 别用来预测以后各年同一季度的销售量。例如,如认为第一季度的销售量大体按线性增 长,可设销售量 ,由
4 Z& h  A7 U( B& L
& d% s  i! a( ~% t4 mx=[[1:5]',ones(5,1)];y=[11 12 13 15 16]';z=x\y
) e/ m9 N( x# U2 @: X! M9 E+ s" N( K4 [$ t7 K

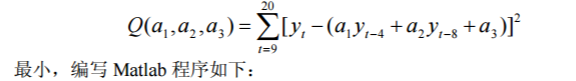
求得a = z(1) = 1.3 ,b = z(2) = 9.5。

最小。编写 Matlab 程序如下:


0 L/ w7 _- J' W- C- d y0=[11 12 13 15 16]'; ; S# W# P$ @1 j) U" G* U3 L
y=y0(3:5);x=[y0(2:4),y0(1:3),ones(3,1)]; . a! X( D# C8 q; ~! \3 c
z=x\y
$ ^7 F6 j5 j8 N2 `' V5 _% u) n3 z' o- T5 e8 _+ n* R
: \# d, i- l) `* W( k3 D* Q
$ U9 w- U( ~1 _

5 X$ x& D: x: z' O# M3 U$ M9 l6 n  `+ z$ Z' L, f- F
y0=[11 16 25 12 12 18 26 14 13 20 27 15 15 24 30 15 16 25 32 17]';6 \+ a8 L" ]  G) O" t
y=y0(9:20);0 j1 z; C. r: Y* E
x=[y0(5:16),y0(1:12),ones(12,1)];- p+ X) ~6 ?" o0 K  \$ P. k
z=x\y
3 W  W' W4 Z" d6 B8 K0 U  c- N- p# U4 N
1 Z+ z9 P& ~+ g! J% X0 Q# F7 i4 ?

' P4 I' D# i+ e$ Q- R% _! a3 E( W9 g1 k
————————————————
5 Q; v/ b6 O/ o) Q* j2 @版权声明:本文为CSDN博主「wamg潇潇」的原创文章,遵循CC 4.0 BY-SA版权协议,转载请附上原文出处链接及本声明。- T* x" |) B: F) f5 u5 j
原文链接:https://blog.csdn.net/qq_29831163/article/details/896464272 Z% s/ `, v+ r$ J9 V. s" H# M

3 E" M' {- a- S  u$ _6 ~
& F( J- w) T8 F3 k




欢迎光临 数学建模社区-数学中国 (http://www.madio.net/) Powered by Discuz! X2.5