数学建模社区-数学中国
标题: 偏微分方程的数值解(五): 二维状态空间的偏微分方程的 MATLAB 解法 [打印本页]
作者: 浅夏110 时间: 2020-6-10 10:32
标题: 偏微分方程的数值解(五): 二维状态空间的偏微分方程的 MATLAB 解法
MATLAB 中的偏微分方程(PDE)工具箱是用有限元法寻求典型偏微分方程的数 值近似解,该工具箱求解偏微分方程具体步骤与用有限元方法求解偏微分方程的过程是 一致的,包括几个步骤,即几何描述、边界条件描述、偏微分方程类型选择、有限元划 分计算网格、初始化条件输入,最后给出偏微分方程的数值解(包括画图)。 下面我们讨论的方程是定义在平面上的有界区域Ω 上,区域的边界记作∂Ω 。) @/ r2 V3 o2 d' K/ U3 B
- H% O( `7 b. c7 w1 方程类型" @ N6 i- a* u* ^" }# \, R" V
MATLAB 工具箱可以解决下列类型的偏微分方程:
" u$ u9 j$ K' v; Z- ^5 B6 |
" u5 E1 W" R, {+ I+ R. `(i)椭圆型偏微分方程; @: Y- t( N% n& k* K' C
( m: c, V$ d3 H8 t# U
) m- a/ u* k1 G% B V; B! S
) [7 H2 _. Q- l* _$ C7 E) y6 e% [) E% P, o* C, W2 D) ?% s& J
其中c, a, f 和未知的u 可以是Ω 上的复值函数。
' G+ [! o; L2 m L. A* o1 d
* O/ E" b j# i$ R B! b(ii)抛物型偏微分方程1 B# ^' D1 U; U- C+ \
+ s2 L# q8 X5 A' l7 T* I8 B
! q$ D7 U: N# _" E" _) N' j) J0 W
/ L9 Q! \6 k8 T' p- N其中c,a, f ,d 可以依赖于时间t 。2 g( h* C5 x: l2 N4 _, |3 C
! O1 S% b; C) e7 z2 P( e6 z+ H(iii)双曲型偏微分方程; ^0 Q8 p4 ?6 p
4 p2 n) x3 L$ r8 o. c% ]

% Q" C2 x+ |* O9 m- U9 _* P* G0 j
(iv)特征值问题
& G9 V, Y _/ z9 h) F) W$ q) Q1 [+ q) q3 I$ @
7 B( B5 A4 C) m l! e. l1 P$ z; u
9 `8 p* B% s5 {2 u5 K& r2 p+ Z1 [其中λ 是未知的特征值,d 是Ω 上的复值函数。
, O6 M0 J6 j" N, b/ k: s
, L; Z6 v$ P" P0 U6 L% B1 ?/ @(v)非线性椭圆偏微分方程
! ^6 {$ m; i- m% R& k- ~/ W I u" v# r

1 _8 b! H, q1 K& ?7 ]! Q
7 X7 ? R! Z+ @5 G+ c7 X7 p8 p6 J其中c, a, f 可以是u 的函数。
) s8 }) L* P0 g/ t7 k+ n
2 i. ]5 t. y2 U(vi)方程组$ s' b' s- |3 _: h2 {& L3 j
! q/ d# y e |. h) o
0 ?: B# ]% L) C ]3 V
6 [ N" ]4 g- I! _2 边界条件) g& Z' a9 k) k& z& f" f
边界条件有如下三种:
9 r# @# T* |+ J+ H0 B& d3 @* D" ] F% h7 t
(i)Dirichlet 条件:
* ~# ^# _3 Y7 E(ii)Neumann 条件: 
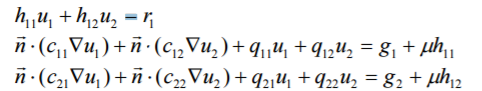
. A6 |/ ]# E+ A. {3 L8 s6 e( L这里 为区域的单位外法线,h,r, q, g 是定义在∂Ω 上的复值函数。
; W s! p4 I& O0 @
0 s7 `' q" z0 K对于二维方程组情形,Dirichlet 边界条件为 
W% q2 d' q( W
+ I/ J3 ~2 {6 n7 `7 ~Neumann 边界条件为:% M) u! `$ J- p2 U0 q0 q
. w& g1 a# C, N( @* z* s8 F! m {4 X

* c8 O0 S8 d) z1 C# h9 F8 C
& q6 |6 X# h2 l0 o' r' G(iii)对于偏微分方程组,混合边界条件为2 f T7 q4 M7 @+ Z/ f; {
* e- [( h0 S: h* A# ^0 K
% f1 ]' f+ S: G! a' q& h. k) H0 n
4 b# F3 i& f! l3 t+ i) L- n
这里 μ 的计算是使得满足 Dirichlet 边界条件。
* u2 e' D' L+ k; i% d
/ L6 D- D* z( o: E3 求解偏微分方程! o4 a$ |. q* S: E6 _8 L
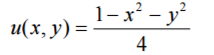
例 6 求解泊松方程 % o- |' Z" _9 X6 P% n7 M
/ |- N; a9 h- ] f( M7 V4 |
' D, W6 }- q" y1 I+ R) J! [) P
求解区域为单位圆盘,边界条件为在圆盘边界上u = 0。0 J4 |! V8 t6 |% ^1 t* m
: L1 w/ n; x' O, K4 L* N5 A# I
解 它的精确解为
6 C% ?9 O+ F3 I4 R6 Q% L' Z4 W
R* l. g2 [! p3 T
! R" I0 \* Q& g; m$ `( m, p8 ?
6 n7 p, y& p0 j1 h下面求它的数值解,编写程序如下:7 [& [! O( q. r( R: m( _+ ^0 X
6 T! G" ^" o+ e% ~% T- \5 T%(1)问题定义# O% g o; v+ t+ B
g='circleg'; %单位圆0 H# b1 @& y. r2 w8 ~
b='circleb1'; %边界上为零条件4 M5 ?7 _! o: h( K7 v% m
c=1;a=0;f=1;1 B$ T5 b U4 A, e7 b
%(2)产生初始的三角形网格. w3 ^* \$ W6 B6 I- n3 I& t
[p,e,t]=initmesh(g);& ]$ R, x* e7 p; M6 @
%(3)迭代直至得到误差允许范围内的合格解$ ^# i9 V$ r* Q$ g1 f
error=[]; err=1;
, W$ O# g( j$ d7 X' Ewhile err > 0.01,' e" J' x# s9 y
[p,e,t]=refinemesh(g,p,e,t);
& {" f+ W2 r1 [u=assempde(b,p,e,t,c,a,f); %求得数值解
1 X$ b' W/ ~ r( J: Texact=(1-p(1,
.^2-p(2,
.^2)/4; n/ M! r- u; b7 @; t! l
err=norm(u-exact',inf);5 ^5 h: f ^' `) P8 r. `; y( Y
error=[error err];
! G* j" s& ^! X. C, [end
! [% ]: y3 u8 S%结果显示3 U5 k1 W& g1 N3 e, \
subplot(2,2,1),pdemesh(p,e,t);
/ Z6 j$ a+ o. c) F; M" ~; vsubplot(2,2,2),pdesurf(p,t,u)$ {; n5 G9 I" b$ ~. p' Y) @2 R, K" b
subplot(2,2,3),pdesurf(p,t,u-exact')
3 }# Q$ ?" C! p2 I例7 考虑最小表面问题
5 o5 T$ O2 _' N5 o' U; v4 Tg='circleg';
/ E% u9 ?6 y6 a9 Sb='circleb2';% H, h3 h$ F( p5 o% S3 z
c='1./sqrt(1+ux.^2+uy.^2)';
- @! T$ @* K; ?' z) y" ~rtol=1e-3;
& z/ h. b1 _0 G( }4 J, f; @2 A- A" t[p,e,t]=initmesh(g);' n* A1 K" V* {! q9 {
[p,e,t]=refinemesh(g,p,e,t);5 R- a- m& }* y3 A' ?' Q
u=pdenonlin(b,p,e,t,c,0,0,'Tol',rtol);
% u- d" `6 d2 I& a/ A. Ppdesurf(p,t,u) " a$ v1 O9 {8 N9 A( E
% i+ k7 V$ P% g/ ~& o) n例8 求解正方形区域上的热传导方程求解正方形区域{(x, y) | −1 ≤ x, y ≤ 1}上的热传导方程

边界条件为Dirichlet条件u = 0。
解 这里是抛物型方程,其中c = 1, a = 0, f = 0, d = 1。编写程序如下:
9 C5 {. X" _7 X; M, ?# |. W8 s
%(1)问题定义
2 L$ n3 b5 {0 {- P/ b6 W! e% Wg='squareg'; %定义正方形区域
9 @, E2 d9 S' Y: D! }b='squareb1'; %边界上为零条件
# u. O/ L# m9 l/ ]) e! y- O- @c=1;a=0;f=0;d=1;
; m+ G3 P7 l4 i$ Q. H- p%(2)产生初始的三角形网格" A5 t* q* w2 v2 f
[p,e,t]=initmesh(g);
1 H" y8 Z$ B2 w7 Q2 t r( A%(3)定义初始条件0 ]: I# q" E; ^. V0 O% [
u0=zeros(size(p,2),1);
% u2 ~! J% C* d6 ]2 d7 nix=find(sqrt(p(1,
.^2+p(2,
.^2)<0.4);5 Y* E E3 s4 p0 s( t! F
u0(ix)=1
1 U1 B |* Y4 ]& V( y" o" S%(4)在时间段为0到0.1的20个点上求解$ d! Z* \: {: b4 O! x; P* q4 Q
nframe=20;- F g7 U4 a ^
tlist=linspace(0,0.1,nframe);
# N$ C: f! m1 d4 e# Hu1=parabolic(u0,tlist,b,p,e,t,c,a,f,d);
, ^7 q1 c. ^/ N. `%(5)动画图示结果
3 `' {3 v y/ S- K+ `for j=1:nframe
3 s' d, O; v- o- J h- E/ g5 }$ E( i pdesurf(p,t,u1(:,j));
( c9 z& l- X) G ?6 U mv(j)=getframe;
7 c! J4 p# T% y' ]3 i; @ xend
], C; g! s |( m/ t: {movie(mv,10)
5 {& {3 }9 X0 q8 b9 x" H1 `( c9 @) Y- z
2 I; m; a1 g) i例9 求解正方形区域上的波方程 求解正方形区域{(x, y) | −1 ≤ x, y ≤ 1}上的波方程

解 这里是双曲型方程,其中 c = 1, a = 0, f = 0, d = 1。编写程序如下:
$ `% [* `$ `. O3 l1 F: B
%(1)问题定义8 H! D0 W8 j( A A( L, g( q
g='squareg'; %定义正方形区域3 n5 x0 j! O- v1 \7 a$ u6 g/ e
b='squareb3'; %定义边界
: K- ?. {4 V( N0 Kc=1;a=0;f=0;d=1;
( V2 S) }% `* g, Y; |$ G% A3 n%(2)产生初始的三角形网格1 m$ r( i' s- {, Z; Z1 B8 w! F5 [
[p,e,t]=initmesh(g);
% j/ H2 H L T* a6 c% `( w9 Q0 p, j%(3)定义初始条件0 Y2 H) Q* O# k: Q! h5 {, R
x=p(1,
';y=p(2,
';
; F* {, O' h i" W( z: q& d+ S8 \u0=atan(cos(pi*x));; G4 ^- ?2 j1 ?8 u
ut0=3*sin(pi*x).*exp(cos(pi*y));
6 @ s5 O* y/ _6 C%(4)在时间段为0到5的31个点上求解0 z. G& i; p; h' h+ M1 n( n3 a
n=31;, O' G8 [5 G$ b, x8 S5 u& R
tlist=linspace(0,5,n);( ~) u! g% o( e4 w, K
uu=hyperbolic(u0,ut0,tlist,b,p,e,t,c,a,f,d);+ w2 m/ G9 m. Q
%(5)动画图示结果0 H7 S* t9 j# y8 n/ n. n
for j=1:n0 r6 R0 }# h6 z4 `8 p7 I
pdesurf(p,t,uu(:,j));6 M4 U6 m2 L: Z" U2 v
mv(j)=getframe;8 t. t' k& Z) ~8 q* E4 [
end
1 w, x F; P, \8 j3 wmovie(mv,10) ; v! x- m: Z" Q7 c# v1 h
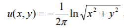
5 T) m9 P- v* }1 H, }5 Q例 10 求解泊松方程
求解区域为单位圆盘,边界条件为在圆盘边界上u = 0。

解 它的精确解为
下面求它的数值解,编写程序如下:
8 o- t/ I$ ?9 m. kg='circleg';
% z' ~- {9 R, Y' s5 Yb='circleb1';
, {( |* N+ D% [6 Lc=1;a=0;f='circlef';! k0 a" G7 z G$ w) l
[p,e,t]=initmesh(g);
6 X, u$ q1 s9 V1 ]+ D[p,e,t]=refinemesh(g,p,e,t);
4 y( H4 Z8 Y( Iu=assempde(b,p,e,t,c,a,f);: I7 f) J6 ~$ j/ r+ l: M
exact=-1/(2*pi)*log(sqrt(p(1,
.^2+p(2,
.^2));% C3 t* K+ N: P( c' X: N# z
subplot(2,2,1),pdemesh(p,e,t);7 e( Y& ?1 U& q5 O. C2 G# _
subplot(2,2,2),pdesurf(p,t,u)' G# B$ s1 O3 B2 ~. _
subplot(2,2,3),pdesurf(p,t,u-exact')
# G( F3 x( q4 o( K$ H+ l; \) P7 O5 q( G; @& S9 ]7 A3 ]7 v
. j2 l2 K! V6 ?2 s
, X E8 d5 `2 k# u
————————————————
G/ I5 k5 P1 k+ x8 m. Z- a- f% V版权声明:本文为CSDN博主「wamg潇潇」的原创文章,遵循CC 4.0 BY-SA版权协议,转载请附上原文出处链接及本声明。2 G2 j% h2 V, T/ e8 K) J
原文链接:https://blog.csdn.net/qq_29831163/article/details/89711854; k# m0 e# ?# B' Y
' a; Q( D6 X3 H; f8 Y: c% o
+ S/ s5 d- y1 X# [8 R
| 欢迎光临 数学建模社区-数学中国 (http://www.madio.net/) |
Powered by Discuz! X2.5 |