数学建模社区-数学中国

标题: 排队论模型(六):非生灭过程排队模型、爱尔朗(Erlang)排队模型 [打印本页]

作者: 浅夏110    时间: 2020-6-13 09:32
标题: 排队论模型(六):非生灭过程排队模型、爱尔朗(Erlang)排队模型
1 非生灭过程排队模型7 _& L3 h! j) U8 y, K
一个排队系统的特征是由输入过程,服务机制和排队规则决定的。本章前面所讨论 的排队模型都是输入过程为 Poisson 流,服务时间服从负指数分布的生灭过程排队模 型。这类排队系统的一个主要特征是马尔可夫性,而马尔可夫性的一个主要性质是由系 统当前的状态可以推断未来的状态。但是,当输入过程不是 Poisson 流或服务时间不服 从负指数分布时,仅知道系统内当前的顾客数,对于推断系统未来的状态是不充足的, 因为正在接受服务的顾客,已经被服务了多长时间,将影响其离开系统的时间。因此, 必须引入新的方法来分析具有非负指数分布的排队系统。. u+ }2 Y9 }" P8 A; f. a
3 @! U$ K. J+ A. {3 S# R1 `; Q
1.1  M / G /1排队模型
* m8 J% e/ ?1 n" c. l
6 h3 Y6 G/ [& V1 ?9 h: Y! |9 g. I5 V; w5 Z
2 Z) f  j3 ~; O; p
8 e$ l$ |  `) l7 @$ O
Pollaczek-Khintchine(P-K)公式. J9 l+ v& a7 ^3 I
* I. ?) j& r1 @; I  _- o
! Y% ^# h6 L1 q; V/ y

" A1 G6 S2 T$ a
$ S" N" o$ ?# H% p# q, n+ v+ P' l1 I" y! [- d

0 b3 B- F0 O' W& B+ O# i# K% k& D7 {; i* B% ~* C
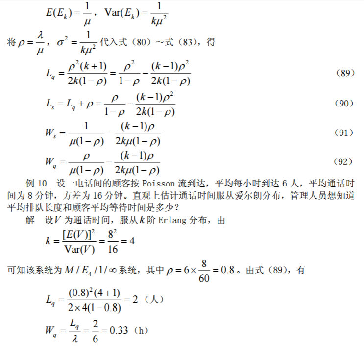
2 爱尔朗(Erlang)排队模型
- A( v) D" B- t9 L( ]4 ^爱尔朗分布族比负指数分布族对现实世界具有更广泛的适应性。下面介绍一个最 简单的爱尔朗排队模型。" `9 d' F5 n# t0 W

9 Z+ v& x5 D4 W+ r/ Y% d
6 T) b% a/ h5 Z7 g9 o4 |
( [; [4 I% d5 j& e8 B: N
' _. q# r( T. r7 d9 A; s! Y# B————————————————% C7 O6 e, F% R( s! ^
版权声明:本文为CSDN博主「wamg潇潇」的原创文章,遵循CC 4.0 BY-SA版权协议,转载请附上原文出处链接及本声明。) ^4 t- n* R5 D* J: a* f
原文链接:https://blog.csdn.net/qq_29831163/java/article/details/89736088
1 K+ z2 @! j1 A; q1 H( n
( i2 \$ ~5 b9 w6 N  f, A- I
* u- L5 T) [8 j  e+ ^3 N




欢迎光临 数学建模社区-数学中国 (http://www.madio.net/) Powered by Discuz! X2.5