8 u) b& H: ~/ S- F: V/ F; E
/ y ?( F! S0 o4 G3 g$ R
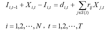
( 1 )
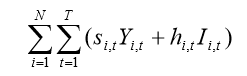
( 2 )
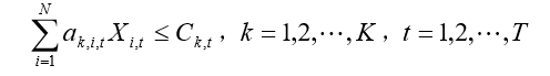
( 3 ) ' w# S% ~+ J4 `- ~ G8 b
6 H) p# x# a5 g& I0 B# M
$ v- U/ q7 C$ r( b% U
emand,X,Y,Inv;
BIN(Y)); ( f7 R% i# P# @
' \2 [& C3 O3 L8 _| 欢迎光临 数学建模社区-数学中国 (http://www.madio.net/) | Powered by Discuz! X2.5 |