数学建模社区-数学中国
标题: 简单动态模型示例 [打印本页]
作者: 普大帝 时间: 2022-7-7 10:53
标题: 简单动态模型示例
原发表于数学中国微信公众号,关注数学中国微信公众号可查看更多。请用电脑查看,手机版图片可能无法正常显示。) B2 X" T6 d7 i" O+ Q% K1 }$ }

( s7 p: T1 p" f5 H$ F a" _" U+ x
问题描述 本章开始提到的魔术,表面看起来很神奇,其实就是一个人人都可以做的化学实验.问题是魔术师是怎么知道变色的时刻.或许魔术师是依据经验,但我们可以应用微分方程精确地计算出变色时间.作为一个简单问题,我们来仔细分析一下微分方程模型是如何建立和求解的.
如图3.2所示,在一个容器里加入粉红色的氯化钴溶液,然后逐滴加入浓盐酸.当氯化钴溶液和浓盐酸的比例分别变成1 ∶ 0.73、1 ∶ 1.07和1 ∶ 1.53时,容器里液体的颜色就会分别变成紫红色、紫色和蓝色.例如,在一个干净的试管里加入0.5mol/L氯化钴溶液3mL,然后逐滴加入浓度为36%的浓盐酸.当加入浓盐酸的体积分别达到2.2mL、3.2mL和4.6mL时,溶液的颜色分别变成上述颜色.舞台上的水箱稍微复杂一些,因为观众并没有发现水箱里的水多出来.事实上水箱中有个隐蔽装置,在上面滴入浓盐酸的同时,下面以同样的速度滴出混合溶液.在实验中,我们用一个较大的容器,先注满粉红色的0.5mol/L的氯化钴溶液.该容器上下各开一个同样大小的口,上下口同时开始以相同的速度开流.上面注入浓盐酸,下面则流出氯化钴和浓盐酸的混合液.那么什么时候是容器里溶液变色的见证奇迹的时刻呢?
图3.2 变色实验示意图
思路分析 我们来分析一下.溶液的体积不变,但容器里氯化钴和浓盐酸的比例一直在变,在一定时间里,它就是一个时间的函数.变化的原因是比例较大的溶液流走,补充以纯的浓盐酸.我们要求的是某时刻的浓盐酸在溶液中的溶液比例,所以不妨设在容器里浓盐酸的含量为未知函数.这个含量的变化率由两个因素决定,一是注入,二是流出.注入的速度已知是个常数.流出的速度也是这个常数,但流出的浓盐酸量却时时刻刻在变化,这个量依赖于该时刻容器里的浓盐酸的含量.这样我们就清楚了这个变化率应满足的关系式.在一个很小的时间段,浓盐酸含量的变化如下.
浓盐酸含量在这个小时间段内的变化=注入的浓盐酸-流出的浓盐酸=注入的溶液的速度×时间段长度-流出的溶液的速度×流出溶液里浓盐酸的浓度×时间段长度
模型建立 现在我们已经做好建模的准备了.我们先用参数代替具体的数据,将上面的关系式用数学式子表达出来.
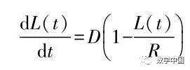
先设定变量:问题的自变量是时间t;容器里浓盐酸的含量为函数L(t);容器容量为R(单位为L),开始时容器里的溶液浓盐酸的含量为0;溶液注入和流出的速度均为D(L/min).然后假设注入后溶液里的浓盐酸立即均匀分布.
从上面分析的结果,取小时刻Δt=t2-t1,用假设的字母,可将文字式翻译成下式
这里在Δt这段小时间段里,我们假定容器里的浓度一直保持着t1时刻的水平,即
.然后让Δt趋于零,我们得到一个关于L(t)的一阶常微分方程 以及初始信息
L(0)=0.
这样我们建立了一个数学模型来刻画容器中浓盐酸变化的规律.
模型求解 如果参数D、R都是已知的,那么就可以解出方程
如果知道了D和R的具体的参数,如D=0.1L/min,R=5L,就可以知道各时刻容器中浓盐酸的含量和浓度,从而可以精准预测出此时此刻溶液的颜色.
变色曲线如图3.3所示.换句话说,我们就可以求出溶液从粉红色分别变成紫红色、紫色和蓝色的时间.读者可以自己算一下,也可以自己做个实验进行检验.
图3.3 变色曲线
可以通过颜色变化来估计氯化钴和浓盐酸的混合液的溶液浓度,但很多化学试剂却没有这个性质,不过我们仍然可以通过上述计算来算出特定时刻的化学试剂浓度.
从这个例子可以看出,当一个变化过程的规律已知时,用微分方程的方法建模可以精确地刻画出这个规律.对于其他问题,具体问题需要具体分析,需要请教相关专家,学习人们已经掌握的这方面的规律(包括经验公式).读者可以通过对大量实际问题的讨论、学习和研究,提高这方面的能力.
3 F7 ^# o& C4 \: R8 S
7 Z, M* u4 d6 y8 b5 Z8 }! }3 U9 [. {8 Q& e3 ~6 h
l+ J& Z, M& n7 [8 R8 l1 ~: E( \
( }- f- L4 i5 `/ q; Y; [4 d; Y; o
| 欢迎光临 数学建模社区-数学中国 (http://www.madio.net/) |
Powered by Discuz! X2.5 |