数学建模社区-数学中国

标题: 动态模型之差分方程模型应用 [打印本页]

作者: 普大帝    时间: 2022-7-6 17:23
标题: 动态模型之差分方程模型应用
原发表于数学中国微信公众号,关注数学中国微信公众号可查看更多。请用电脑查看,手机版图片可能无法正常显示。
/ P7 I' v: N& [
我们有时把差分方程处理的也视动态过程,不过其变量是通过一序列 x1,x2,…,xn,…来表示,而所求的函数值在不同的序列点f(x1),f(x2),…,f(xn),…上互相之间有关系.
我们来看一个经济学中的蛛网模型.
问题描述 经济学中认为,商品的本期产量由前一期的价格决定,而商品本期的需求量由本期的价格决定.
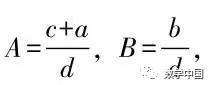
思路分析 生产时间节点为t1,t2,…,tn,…,某商品在时间tn的产量f(tn)由前一期的价格P(tn-1)线性决定,即供给函数为f(tn)= -a+bP(tn-1),而该期商品的需求量g(tn)由本期的价格P(tn)线性决定,即需求函数为g(tn)=c-dP(tn),这里a、b、c、d是正常数,分别代表生产基本消耗、供给弹性系数、基本需求和需求弹性系数.如果生产安排合理,那么需求量应该等于产量,则有f(tn)=g(tn).
模型建立 将f(tn)、g(tn)的表达式代入,我们就得到一个关于价格函数的差分关系式
c-dP(tn)=-a+bP(tn-1),
或者写成递推关系式
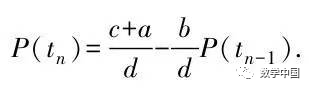
模型求解 解这个差分方程并不难.可以通过直接解模来讨论其解的性质.迭代上式,可以得到第n期的价格P(tn)关于初始价格P(t0)的关系
把式中的等比级数写出来,也可以把这个解写成
从这个模型我们可以看出,a、b、c、d这4个系数决定了价格的走势,这里,实际上只有2个参数,分别记为
我们可以分别把它们称为收敛型、发散型和稳定型蛛网.
(1)当B<1,即供给弹性小于需求弹性时,(-B)n将趋于0,P(tn)趋于均衡点为这表明需求弹性大,价格变化相对较小,进而由价格引起的供给变化则更小,因而由供给引起的价格变化随着时间越来越不起作用.这种情况就是收敛型情形.图3.4中,参数设为a=1,b=1,c=3,d=2,P(0)=1,即A=2,B=0.5.
图3.4 蛛网稳定图
(2)当B>1,即供给弹性大于需求弹性时,(-B)n将趋于无穷,P(tn)发散.这表明当市场由于受到外力的干扰偏离原有的均衡状态后,实际价格和实际产量偏离均衡点越来越远.其原有的均衡状态是不稳定的.这也意味着产量可以无限供给,价格可以无限提高.这就是发散型的情形.图3.5中,参数设为a=1,b=2,c=3,d=1,P(0)=1,即A=4,B=2.
图3.5 蛛网发散图
(3)当b=d,即供给弹性等于需求弹性时,(-b/d)n趋于±1,当市场由于受到外力的干扰偏离原有的均衡状态以后,实际产量和实际价格始终按同一幅度围绕平衡点上下波动,既不进一步偏离平衡点,也不逐步地趋向平衡点.这就是震荡稳定型的情形.图3.6中,参数设为a=1,b=1,c=3,d=1,P(0)=1,即A=4,B=1.
图3.6 蛛网振荡图
蛛网模型解释了某些生产周期较长的商品的产量和价格的波动情况,在经济学里是一个有意义的动态分析模型.
模型的缺陷则是没有考虑生产者的预期行为.
西方经济学家阿西玛普罗斯举出了以下的事例.
在美国,1972年由于暴风雨的恶劣气候,土豆产量大幅度下降,从而土豆价格上涨.因此,农场主便扩大土豆的种植面积,使土豆产量在1974年达到历史最高水平.结果,土豆供给量大幅度增加,导致土豆价格又急剧下降.以缅因州土豆为例,0.453 6kg土豆的价格由1974年5月的13美分降为1975年3月的2美分,该价格比平均生产成本还低.这种现象可以用蛛网模型来解释.作为补充,阿西玛又举了一个特殊的例子来说明蛛网模型的缺陷:在普林斯爱德华岛屿,当农场主们都因土豆价格下降而缩减土豆的种植面积时,有一个农场主不是这样做的.因为这个农场主根据其长期的经营经验,相信土豆价格将上升,而眼下正是自己增加土豆产量的时候.可见,这个农场主的预期和行为与蛛网模型所分析的情况是不吻合的.
可用蛛网模型解释我们常见的市场猪肉、绿豆等农产品价格上下波动的实际情况,根据实际数据,预测未来价格走向.​
  _( j: _* a# ]

. u$ s! W* n) {, [& {
2 h6 I2 ~' F  k/ W" p+ i% g) a/ n8 E$ A# r2 ~

( d! M( G1 E) y% L" Y# q' c




欢迎光临 数学建模社区-数学中国 (http://www.madio.net/) Powered by Discuz! X2.5