数学建模社区-数学中国
标题: 动态模型之常微分方程模型应用 [打印本页]
作者: 普大帝 时间: 2022-7-7 10:54
标题: 动态模型之常微分方程模型应用
原发表于数学中国微信公众号,关注数学中国微信公众号可查看更多。请用电脑查看,手机版图片可能无法正常显示。
8 ~6 \* Z6 S) z: ^6 Q对于只有一个自变量的微分方程,我们常称其为常微分方程.我们通过一个采药场的问题来应用这个方法建立模型.
1 滞阻模型
问题描述 考虑一个采药场.药场的药材不能通过人工培植获得,只能自然繁殖,除去自然损耗,其正常的增长率为一常数,但药材的密度超过一定水平后,其繁殖将受到限制.限制分2种,第1种是药材的增长率符合滞阻模型假设,第2种是增长率与药材的超水平密度成反比.建立模型刻画药材的增长规律,并安排最优的生产计划,计算药材的出场率(即单位时间采药量与在药场里的药材量的比例).
思路分析 这种与繁殖率有关的问题大多数可以参考人口模型.最有名的人口模型是马尔萨斯指数模型.但马尔萨斯模型是假定人口增长没有任何约束的,从而不符合药场面积有限的前提,因此不能套用.但我们仍然可以借用其刻画繁殖增长的过程以及这个过程所导出的常微分方程这也和滞阻模型(也叫逻辑回归模型)比较接近.另外两个限制假设将对滞阻模型进行修正,从而解的方法也有所不同.
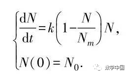
假设在逻辑回归模型里,增长率受阻,r(t)=k(1-N(t)/Nm),这里Nm表示药场最大的容忍密度,初始时刻药材密度为N0.
模型建立 方程问题为
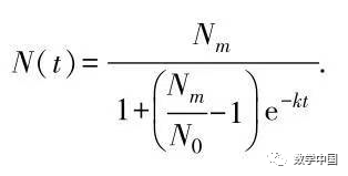
模型求解 该方程可分离变量,其解为
对这个模型可以进行一些简要分析.
(1)当t→∞,N(t)→Nm时,即无论初始药材种植密度如何,N(t)不会超过Nm,并趋向于极限值Nm.
(2)当0<N<Nm时
,这说明N(t)是时间t的单调递增函数. 2 密度限制模型
问题描述 同滞阻模型.
思路分析 假设药的自然增长率为r0;时间t时,药场里的药材密度为N(t),受限密度为ND,当N(t)>ND时,药材的增长率在两种情况下分别为r1(t),r2(t),增长率受限制,反比例系数为α; t=0的初始时刻药材密度为N0,假定N0<ND.
模型建立 药材的增长分为两个部分:当药场里的药材密度小于ND时,药材的增长没有限制,它们按照自然增长率r0增长;当其密度大于ND时,增长率受限.题目中给了两种受限方式.
第1种方式:
,此时由于r1(t)的连续性,容易求出α=r0ND.此时药场里药材的增长率为 第2种方式:
.也容易求出
时,增长率为r(t)=
].此时药场里药材的增长率为 这里
H(x)是Heaviside函数. 模型求解 按题意,以第2种方式为例,在无采药的情形下,药场里药材的密度满足常微分方程
加上初始条件N(0)=N0,我们就可以解出数值解.
3 最优采药模型
我们知道,研究数学模型,重要的事情是应用,我们要了解药场里药材的增长情况,并合理安排采药计划.如果采药量少了,会造成浪费,如果采药量太多,将使药材难以恢复生长,以至于难以维持今后的生产.所以找到这个最优采药量对我们制定合理的可持续发展的生产计划是有一个很大的帮助.
我们先在滞阻模型的基础上讨论问题.
问题描述 同滞阻模型.
思路分析 采药强度为μ,即采药率为μN,其他假定与滞阻模型相同.
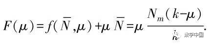
模型建立 将滞阻模型改进成为
模型求解 我们要用到稳定性理论来寻找最优的μ.假定我们按照采药强度μ来采药.最后,药场里的药材数量稳定到一个值[插图].不难解出,问题有两个平衡解
并且 f′(0)=k-μ,f′(Nm(k-μ)/k)=μ-k,所以由3.1.2节的稳定性理论,我们有当μ<k时,
不稳定,
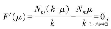
稳定,此时,药场将有一个趋于稳定的药材产量;反之,如果采药强度超出药材的繁殖能力,则药场里的药材将趋于零,这也与我们的常识相符.对于稳定的非零平衡解,现令 现在我们关心的是,用多大的采药强度可以获得最大的可持续采药的产量,也就是使得药场里的药材和采出的药材总和最大,即F(μ)取得最大值.为此我们对F(μ)关于μ求导,得到
只要μ=k/2,
也就是说,只要我们保持采药的强度为药场自然增长率的一半,就能获得持续性的采药产量的最大收益.为此安排采药许可量,强制休采期,就可以达到持续高产的目的.
可将此模型推广到其他方面,如森林砍伐、渔场捕鱼、原野狩猎等方面.
& |) C, h( a! a
$ X. i6 `" y, ^9 _2 b+ D, Z! T3 T
$ L, ^0 \, k- v' j' D, Q' J7 L7 m7 h1 l4 ^' n" @5 p( W
7 P' H5 X5 u1 Q7 ~
| 欢迎光临 数学建模社区-数学中国 (http://www.madio.net/) |
Powered by Discuz! X2.5 |