数学建模社区-数学中国

标题: 动态模型之常微分方程组模型应用 [打印本页]

作者: 普大帝    时间: 2022-7-7 10:54
标题: 动态模型之常微分方程组模型应用
在我们的地球上,各种生物种群相依相争,形成了丰富多彩的大自然.研究它们之间的关系是一个很有意思的问题.从数学建模的角度来讲,这一定是一个多变量的变化问题,最简单的也是有两个种群变量.这两个变量之间的关系可以是捕食关系(如狼和羊),也可以是竞争关系(如针叶林和阔叶林),还可以是合作关系(如食果动物和产果植物).当将两个种群变量的关系研究清楚后,我们还可以将这些研究扩展到更复杂的三个种群变量甚至更多的变量.生态问题是建模基本模型人口问题的一个拓展,基本的模型都是微分方程模型,只不过生态问题更关心种群间互相依存、互相争斗的此消彼长,所以一般都是微分方程组的问题,而解模更多的是讨论定性问题.
既然是生态问题,必然涉及出生率、死亡率和增长率的概念.容易理解,有
增长率=出生率-死亡率.
我们还是从最简单的情况开始讨论.
假如大自然中只有两个物种,种群数分别是x(t),y(t),而它们的增长率分别是自己和对手种群数的光滑函数,分别记为M(x,y),N(x,y),则两种群生态问题的基本模型就是
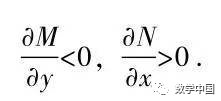
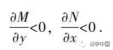
这两种群之间的关系分别为捕食、竞争和合作,不难理解,这些关系是由两个增长率函数的导数确定,即通过对方种群的增长对自己的增长率是否有利来确定这种关系.
捕食型:
竞争型:
共助型:
在下面的几节里,我们分别对这几种关系进行进一步的分析求解.
1 捕食模型
最简单的捕食模型涉及两个变量,即捕食种群和被捕食种群,被捕食种群有时也被称为食物.以狼和羊的模型为例.
问题描述 草地上有两个种群,狼和羊.羊以草为生,狼以羊为生.草地资源无限.羊的自然增长率为一个常数,狼的自然增长率与羊有关,食物丰盛时增长率大,反之则小,没有食物将绝种.那么随着时间增长,狼和羊的数量将如何变化?
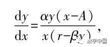
思路分析 羊的生长不受资源限制,就是自然增长率r,但其数量除了自然繁殖,还要减去被狼吃掉的数量,而且减员的多少和狼的数量成正比.狼只以羊为生长资源,那么狼的增长率和羊的数量有关,当羊太少时,狼就会因为没有充足的食物而减少,甚至绝种.
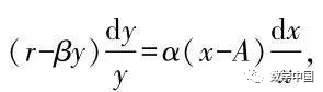
狼和羊的数量分别为y(t),x(t),羊的自然增长率为r;狼以羊为生长资源.狼的增长率与羊的多少有关,其最低食物需求量为A,即这个增长率与x-A成正比,比例系数是α.羊群的减少率和狼群的数量成正比,比例系数为β.这里,r,A,α,β为正常数.
模型建立 有了狼群的增长率,狼群的数量满足
而羊群的数量除了涉及自然增长的数量,还有被狼吃掉的数量,即
这样,我们就得到一个联立方程组,把这个方程组称为Lotka-Volterra捕食方程.
模型求解 虽然狼和羊的种群数都是时间的函数,但对于这类问题,直接求出解析解的困难比较大.我们换一个思考方式,其实我们更关心的是狼和羊之间的此消彼长.所以这个方程组一般可采用相轨线方法求解,即将两个方程除一下,得到
解这个方程,重写得
不难得到方程的通解为
rlny-βy-αx+Alnx=C′,
或者
这里C是任意常数.
再观察关于狼和羊的两个方程,如果当时间趋于无穷大时,绝对增长率趋于零,我们就得到一个极限点
这是该问题的唯一平衡解.由计算可见,也可以证明相轨线根据C的不同,是一组以(x,y)为心的封闭圈,初始的(x0,y0)>0取定后,(x,y)就沿着过该点的相轨线循环变动,其动向是逆时针的,并且既不会趋零,也不会趋于无穷(见图3.7和图3.8).
但其极端形式是C=0.此时问题的解是或者x=0,或者y=0.如果是前者,这意味着食物数量为零,这时捕食者的变化率为负,即捕食种群数不断下降,直至为零,通俗地讲,就是最后都被饿死了;而如果是后者,那么捕食者的变化率为正,最后种群数趋于无穷,即被捕食者没有天敌,最后数量无限制地增长.
这个模型是个简化模型,但却是一个数学模型揭示变化规律的极好的例子.有人质疑在实际的捕食系统中,很难观察到物种的振荡周期现象,而且,如果没有天敌,物种数量将趋于无穷这一说法也与事实不符.如同人口模型的发展,这说明模型需要改进.
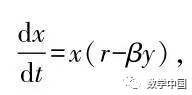
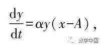
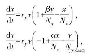
改进模型的步骤,第一步通常是反审假设,看看有什么假设太过松散,脱离了实际.在这个问题上,假设草地资源无限,是不符事实的.类似人口的滞阻模型,环境对种群是有限制的.同样我们也可以把环境滞阻的因素考虑进来.这样问题就变成一个更一般的形式
图3.7 狼和羊的稳定极限圈
图3.8 狼和羊种群振荡周期图
这里α,β,rx,ry,Nx,Ny为正常数,Ny,Nx分别是系统环境中所能容忍的两物种的最大种群数.我们同样可以通过相轨线进行分析,也可以通过3.1.2节介绍的方法分析平衡点的稳定性.
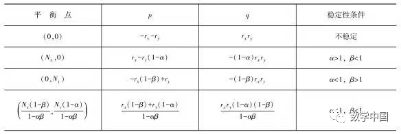
如同3.1.2节所讨论的,改进问题有4个平衡点,分别是
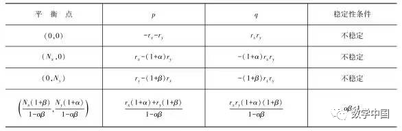
根据3.1.2节的判定方式,我们来计算p、q在平衡点上的值,如表3.1所示.
表3.1 捕食模型平衡点
由表3.1可知如下信息.
(1)狼和羊种群数量最后不太可能全为零.
(2)当狼对羊依赖的增长系数小于1时,羊的数量最后将达到最大值,而狼将消亡;当αβ>1且rx(1+β)>ry(1+α)时,狼和羊共存并且二者的数量最后将趋向于一个稳定值.
该模型可推广到依赖类的系统.例如,经济领域某一商品的生产依赖于某种具有固定增长率的原料,则无序、过度地开发将造成资源枯竭,进而使商品无法生产.可推广此模型进行优化安排.
2 竞争模型
问题描述 竞争模型以森林里的针叶林和阔叶林为例.一般情况下,阔叶林生长在热带,针叶林生长在寒温带,所以阔叶林一般长得比较快.但随着地域的变化,针叶林和阔叶林的生长因素也在发生变化.特别是在针叶林和阔叶林混合的森林里,二者为了争夺有限资源各展奇招.此时针叶林繁殖较快,抢占了大量的土地和水资源,而阔叶林生长较快,以高制胜,占据了大量空间和阳光.在竞争中,当某一种群数增加时,另一总群数将会减少.我们可以用数学模型来描述一下,看看在什么情况下,两树种数量达到平衡,以及在什么情况下,其中的一个树种被驱逐.
思路分析 假设针叶林和阔叶林的数量分别为x(t),y(t),它们的自然增长率分别为rx,ry.我们假定森林容忍它们的最大种群数分别是Ny,Nx.针叶林和阔叶林的增减分别造成对方种群的减增,交叉影响因子分别为α和β.这里rx,ry,Nx,Ny,α,β都是正常数.
由于竞争,种群数此消彼长,加上考虑阻滞模型,阻滞不仅来自自身的种群增长,也来自他种群的增长,所以各种群的增长率皆为自然增长率减去自群的增长阻滞和他群的增长阻滞,所以形成一个方程系统.
模型建立 根据分析,结合阻滞模型,竞争模型为
模型中,有两个参数与过去的模型不同,它们也成了这个模型特有的部分,这就是α,β参数.
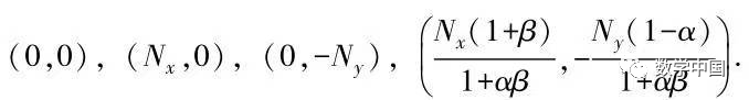
模型求解 求解平衡解系统
我们得到如下4个平衡点(见图3.9)
图3.9 针叶林和阔叶林稳定平衡点图
下面要讨论这些平衡点的稳定性.
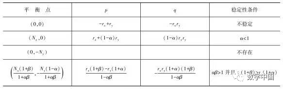
首先,这些平衡点必须位于第一象限中才有意义,这个条件对前3个点没有影响,对第4个平衡点,或者α,β<1,或者α,β>1.如果α,β=1或αβ=1,那么这个平衡点将消失.竞争模型的平衡点如表3.2所示.
表3.2 竞争模型平衡点
从稳定性分析的结果可以看出,交叉系数α,β起关键作用.如果针叶林的增长对阔叶林造成的阻滞系数大于1,阔叶林对自己的阻滞系数小于1,则针叶林将阔叶林逐出森林,反之,则阔叶林将针叶林逐出森林.如果它们之间相互的阻滞系数都小于1,则最后竞争的稳定结果是它们互存共生,针叶林和阔叶林各占森林的一片天地.
此模型可推广到其他竞争行为,如市场竞争.市场资源有限,几家竞争扩散,最后的结果,或驱逐被驱逐,或共存分享市场蛋糕.
3 共助模型
问题描述 自然界中,种族的共助现象也是非常普遍的,如海葵固着在寄居蟹所寄居的螺壳上,通过寄居蟹的运动扩大其取食范围,反过来寄居蟹可以利用海葵的刺细胞防御敌害.再如,食果动物以植物的果实为生,同时通过粪便把植物的种子散布开来,并为种子的发育成长提供营养.在共助现象中,对方种群的增长有助于己方种群的增长.在这个模型中我们以食果动物和产果植物为例来讨论.
思路分析 食果动物和产果植物的数量分别为y(t),x(t),它们的自然增长率分别为rx,ry;环境容忍它们的最大种群数分别是Ny,Nx.两种群的增减有助于对方种群的增减,影响因子分别为α,β.这里rx,ry,Nx,Ny,α,β都是正常数.
与竞争模型相反,共助模型中增长率与对方种群数应该正相关,同样在阻滞模型的框架下,我们可以沿用其建模的思想,并将竞争模型中他群前面的负号改为正号.这里又有3种情形:第1种情形,两种种群互惠却不依赖对方;第2种情形,其中一种种群完全依赖于另一种群,但另一种群得到益处却并不依赖前一种种群,这时,前一种种群的自然增长率为负,即-rx;第3种情形,两种种群互相依赖,这时它们的自然增长率都为负,即分别为-rx和-ry.
模型建立 由分析,我们有
情形1
情形2
情形3
模型求解 如前我们讨论情形1平衡解的稳定性,其平衡点为
计算p,q来讨论这些平衡解的稳定性,如表3.3所示.
表3.3 共助模型平衡点
情形2的平衡点为
而情形3的平衡点为
读者可以沿用前面的方法讨论这些平衡点的稳定性.
互不依赖的共生种群不会驱逐对方种群,所以,某种群为零的平衡解都是不稳定的.该模型同样可推广到经济市场行为中.
* P0 W; _  P5 o4 H9 K
2 o8 E! H) D# z7 F! n" N! `- p





欢迎光临 数学建模社区-数学中国 (http://www.madio.net/) Powered by Discuz! X2.5