数学建模社区-数学中国

标题: 线性代数在数学建模中的应用案例 [打印本页]

作者: 普大帝    时间: 2022-7-10 11:22
标题: 线性代数在数学建模中的应用案例
原发表于数学中国微信公众号,关注数学中国微信公众号可查看更多。请用电脑查看,手机版图片可能无法正常显示。
​工资问题:现有一个木工、一个电工和一个油漆工,三人相互同意彼此装修他们自己的房子。在装修之前,他们达成了如下协议:(1)每人总共工作10天(包括给自己家干活在内);(2)每人的日工资根据一般的市价在60~80元之间;(3)每人的日工资数应使得每人的总收入与总支出相等。表5-5-1是协商后制定出的工作天数的分配方案,如何计算出每人应得的工资?
表5-5-1 工作天数分配方案
解 建立线性代数方程组描述问题.以x1表示木工的日工资;x2表示电工的日工资;x3表示油漆工的日工资。根据协议中每人总支出与总收入相等的原则,分别考虑木工、电工及油漆工的总收入和总支出。木工的10个工作日总收入为10x1,而木工、电工及油漆工三人在木工家工作的天数分别为:2天,1天,6天,则木工的总支出为:
2x1+x2+6x3
于是木工的收支平衡关系可描述为:
2x1+x2+6x3=10x1
仿照上面木工收支平衡关系建立的过程,建立描述电工,油漆工各自的收支平衡关系得三元一次线性方程组:
在命令窗口输入:
得:X=31/36
            8/9
            1
即:
考虑到每个人的日工资在60~80元之间,故选择k=72,即木工的日工资为62元;电工的日工资为64元;油漆工的日工资为72元。
例5.5.2 一个城镇有三个主要企业:煤矿、电厂和地方铁路作为它的经济系统,生产价值一元的煤,需消耗0.25元的电费和0.35元的运输费;生产价值一元的电,需消耗0.40元的煤费、0.05元的电费和0.10元的运输费;
而提供价值一元的铁路运输服务,则需消耗0.45元的煤费、0.10元的电费和0.10元的运输费。在某个星期内,除了这三个企业间的彼此需求,煤矿得到50000元的订单,电厂得到25000元的电量供应要求,而地方铁路得到价值30000元的运输需求。试问:
(1)这三个企业在这星期各应生产多少产值才能满足内外需求?
(2)除了外部需求,试求这星期各企业之间的消耗需求,同时求出各企业新创造的价值(即产值中除去各企业的消耗所剩的部分)。
分析:这是一个小型的经济上的投入产出模型。在一个国家或区域的经济系统中,各部门(或企业)既有消耗又有生产,或者说既有“投入”又有“产出”,生产的产品供给各部门和系统外
以满足需求,同时也消耗系统内各部门所提供的产品,当然还有其他的消耗,例如人力消耗等消耗的目的是为了生产;生产的结果必然要创造新价值,以支付工资和获取利润.显然对每一部门,物资消耗和新创造的价值等于它生产的总产值。这就是"投入"和"产出"之间的平衡关系。俄裔美国经济学家W.Leontief于20世纪30年代首先提出并成功地建立了研究国民经济的投入产出的数学模型,他数次主持制定了美国的国民经济投入产出表,且由此对国民经济各部门的结构和各种比例关系进行了定量分析,这一方法即投入产出法以其重要的应用价值迅速为世界各国经济学界和决策部门所采纳。W.Lmntief因此于1973年获得了Nobel经济学奖。
解:设煤矿、电厂和地方铁路在这星
期生产总产值分别为x1,x2,x3(元),那么很容易有:
方程组(5-5-1)的每个等式以价值形式说明了对每一企业:
中间产品(作为系统内各企业的消耗)+最终产品(外部需求)=总产品
方程组(5-5-1)称为分配平衡方程组。
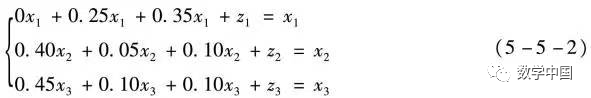
另一方面,若设z1,z2,z3(元)分别为煤矿、电厂和地方铁路在这星期的新创价值,那么应有:
方程组(5-5-2)说明对每一企业
对系统内各企业产品的消耗+新创价值=总产值
方程组(5-5-2)称为消耗平衡方程组。
将方程组(5-5-2)写成矩阵形式为:
Ax+y=x
其中
在经济学上分别称A为直接消耗矩阵,x为产出向量,y为外界需求(或最终产品)向量;A中的元素aij称之为直接消耗系数。上述方程组又可写为:
(E-A)x=y  (5-5-3)
其中E是单位矩阵,(E-A)称为Leontief矩阵。
为求方程组(5-5-3)的解,编程如下:
四舍五入的整数解为:
这就是说在该星期中,煤矿、电厂和地方铁路的总产值分别为114458元,65395元和85111元。
由于得到了系统各个企业的总产值
(产出向量),我们就可以利用直接消耗系数矩阵A进行计算:
不难理解,上式右端矩阵的每一行给出了每一企业分别用于企业内部和其他企业的消耗(中间产品)。进而利用方程组(5-5-2)求出各企业新创造的价值(单位:元)
求得四舍五入的整数解如下:
z1=45784,z2=29427,z3=29789
表5-5-2 投入产出分析表
我们将结果列成的表称为投入产出表,如表5-5-2所示,当然这里的形式十分简化。一般来说,在对一个国家或区域的经济用投入产出法进行分析和研究时,首先就是根据统计数字制定投入产出表,进而计算出有关的技术系数(例如直接消耗系数),对这些系数的分析,可以了解经济系统的结构和各部门之间的数量关系;还可以建立上述的反映的分配平衡和消耗平衡关系的代数方程组,通过求解方程组来获知最终需求的变动对各部门生产的影响。
例5.5.3 (隐性病遗传)在常染色体
遗传中,后代是从父母的基因对中各继承一个基因,形成自己的基因型。如果我们所考虑的遗传特征是由两个基因A和a控制,那么就有三种基因型,表5-5-3给出父母基因型的所有可能组合使其后代形成每种基因对的概率。
表5-5-3 基因型遗传概率
设金鱼某种遗传病染色体的正常基因为A,不正常基因为a,那么AA,Aa,aa分别表示正常金鱼、隐形性状、显性性状。设初始分布为90%正常金鱼,10%的隐性性状,无显性性状。考虑下列两种配种方案对后代该遗传病基因型分布的影响。
方案一:同类基因结合,均可繁殖;
方案二:显性性状不允许繁殖,隐形性状必须与正常金鱼结合繁殖。
解:设初始分布为
,第n代分布为
那么  x(n)=An-1x(1);x(n)=Bn-1x(1)
分别是两种情况下第n代的基因分布。

运行即得:
可见,按第一方案,很多代以后,将出现5%的稳定显性性状。

若执行方案二:
运行即得:
可知按方案二,很多代以后,不但不会出现显性性状,更令人鼓舞的是,连隐形性状也趋于消失。这个例子体现了杂交的优势。
现在用特征值和特征向量理论作进一
步分析。
可以求得A对应的3个特征值为1,1,0.5,对应特征向量(1,0,0)′,(0,0,1)′,(-0.4082,0.8165,-0.4082)′。由于三个特征向量线性无关,从而A可相似对角化,即P-1AP=T。于是:An=PTnP-1
对应的MATLAB程序为:
对于方案一A的上述性质可知,对于任意初始分布,[插图]最终导致隐形病性状消失。但会出现少量的稳定显性性状。对于方案二,读者可自己做出B
矩阵下关于
类似的分析。


关注数学中国微信与微博查看更多






欢迎光临 数学建模社区-数学中国 (http://www.madio.net/) Powered by Discuz! X2.5