数学建模社区-数学中国
标题: 用MATLAB求矩阵特征值与特征向量 [打印本页]
作者: 普大帝 时间: 2022-7-10 11:34
标题: 用MATLAB求矩阵特征值与特征向量
原发表于数学中国微信公众号,关注数学中国微信公众号可查看更多。请用电脑查看,手机版图片可能无法正常显示。

特征值与特征向量是线性代数中一个非常重要的概念,在工农业生产实际问题的求解中有着广泛的应用。
求矩阵的特征值与特征向量
特征值λ与特征向量x满足关系Ax=λx,而对于矩阵A和B,其广义特征值λ与广义特征向量x满足关系Ax=λBx,这里A与B为同阶方阵。在MATLAB中可用表函数求矩阵的特征值与特征向量。
求矩阵的MATLAB命令
求矩阵
的所有特征值及特征向量。
解:在命令窗口输入以下命令:
结果返回特征向量矩阵v和特征值矩阵d,其中d为对角阵。
求矩阵A的特征向量和特征值。
若将eig(A)换成eig(A,B),则返回广义特征值与特征向量,且满足Av=Bvd,各特征向量的范数为1。若B可逆,则广义特征值问题等价于求inv(B)A的常义特征值问题。
矩阵的对角化
下述函数用来判断矩阵是否可对角化,若可对角化返回1,否则返回0。
例:矩阵对角化。
当一个矩阵可对角化时,用该矩阵的特征向量P得到对角化后的矩阵,即特征值矩阵,这里P是可逆的,且inv(P)AP为特征矩阵。
实对称矩阵都是可对角化的,并且存在正交矩阵Q,使得inv(Q)AQ为对角阵,这里Q可由特征向量阵正交规范化得到。事实上,对于实对称矩阵A来说eig(A)返回的特征向量就是正交矩阵。如:
例:实对称矩阵的对角化,输入D=[0 1 1-1;1 0-1 1;1-1 0 1;-11 1 0]然后运行以下li5_3_4.m函数程序。
结果显示为:
输入的矩阵能对角化。
小行星轨道方程问题的模型求解
用MATLAB软件求解,即利用命令A\b来求解,其中系数矩阵和常数向量分别为
计算结果为:x=[0.0507 -0.0351 0.0381 -0.2265 0.1321]
因此小行星的轨线方程为
0.0507x2-0.0351xy+0.0381y2-0.2265x+0.1321y+1=0
小行星轨道曲线的绘制
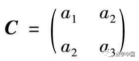
1)将椭圆的方程写成矩阵形式:
然后利用变量代换(平移变换和旋转变换)化为椭圆的标准方程。
首先利用平移变换消去一次项。令
x=x0+ξ,y=y0+η
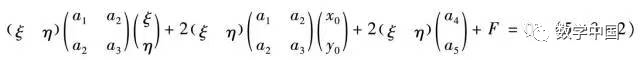
其中,x0,y0待定。将它代入式整理得
其中,F=a1x0+2a2x0y0+a3y0+2a4x0+2a5y0+1。要简化消去一次项,只需选择x0,y0使上述方程含ξ,η的项为零,故令x0,y0满足方程组
求解得 x0=2.7213,y0=2.4234
将它代入式(5-3-2),则平移变换后方程为
其中,F=3.2488。
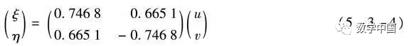
再旋转(正交)变换化椭圆标准形,令
利用MATLAB命令eig可以求出其特征值
λ1=-0.1694,λ2=-0.5502
和特征向量
显然特征向量ξ1,ξ2是两个互相正交的
单位向量,故构造正交变换
将式(5-3-4)代入式(5-3-3),可将二次型化为标准型,从而得到椭圆的标准形方程
其中,a=4.3799,b=2.4299分别为椭圆的半长轴和短半轴。由此得到参数方程
2)椭圆图形的绘制:
利用参数方程式(5-3-5)计算出变量u,v的离散数据,然后通过旋转变换和平移变换
将其还原为原始变量的坐标x,y的数据,可以绘出图5-3-1,图中“*”表示观测所得的5个数据点所在的位置
MATLAB程序如下:
程序运行后,将绘出模拟小行星运动的动态图形。
关注数学中国微信与微博查看更多
| 欢迎光临 数学建模社区-数学中国 (http://www.madio.net/) |
Powered by Discuz! X2.5 |