速看,赣南师范大学出复试名单了!调剂的同学注意了,抓住机会!调剂需要咨询的,详情可以留言我们。
学校简介:赣南师范大学(Gannan Normal University)位于国家历史文化名城、江西省域副中心城市、享有“江南宋城”“客家摇篮”“红色故都”等美誉的赣州市。学校创办于1958年6月,时为赣南师范专科学校;1984年更名为赣南师范学院,升格为省属本科师范院校;2003年成为硕士学位授予单位;2016年3月,经教育部批准更名为赣南师范大学;2017年12月,顺利接受教育部本科教学工作审核评估,专家组评价学校“是一所特色鲜明、前景良好的区域性优秀师范大学”。
赣南师范大学2023年硕士研究生招生复试调剂及录取办法根据《教育部关于印发2023年全国硕士研究生招生工作管理规定的通知》(教学〔2022〕3号)、《教育部关于做好2023年全国硕士研究生复试录取工作的通知》(教学司〔2023〕3号)和《关于做好我省2023年硕士研究生复试录取工作的通知》(赣考院普〔2023〕4号)等上级有关文件精神以及江西省2023年硕士研究生招生复试录取工作培训会议精神,结合我校实际,制定本办法。
一、指导原则
1.复试录取是硕士研究生招生考试的重要组成部分,用于考查考生的创新能力、专业素养和综合素质等,是硕士研究生录取的必要环节,不参加复试或复试不合格者不予录取,思想品德考核不合格者不予录取。
2.遵循公平、公正、公开的原则,坚持择优录取、保证质量。
3.各学院根据学科特点、专业要求以及生源情况,在确保公平和可操作的前提下自主确定复试方式,可采用现场复试和网络远程复试等,但同一学院同一专业须采用同一种复试方式。
4.优化复试录取工作流程,根据培养目标要求、学科专业特点和办学特色等合理设计复试内容,确保复试工作安全性、公平性、科学性。
二、复试分数线
1.我校执行国家公布的2023年全国硕士研究生招生考试A类考生(报考地处一区招生单位的考生)进入复试的初试成绩基本要求,原则上上线考生数不超过招生计划数2倍的专业,执行国家复试分数线,不再另行划线;上线考生数超过招生计划数2倍的专业,由学院确定是否另行划定进入复试分数线,划线比例不低于1:1.2,具体比例和原则由教学学院确定。享受国家规定的加分政策考生的初试成绩以加分后的为准,如加分后达到了规定的复试分数线,则一并列入复试名单。
2.“退役大学生士兵”计划的第一志愿考生和调剂考生进入复试的初试成绩基本要求为:总分低于国家A类考生复试线50分以内(含50分),单科低于国家A类考生复试线15分以内(含15分)。
3.学校按照差额复试原则开展复试录取工作,差额比例一般不低于1∶1.2。
三、组织领导及职责
(一)学校研究生招生工作领导小组负责执行教育部关于招生复试录取工作的方针、政策、规定和办法;负责全校硕士研究生复试调剂及录取工作的领导、统筹和督查;负责审定学校分专业招生计划、复试调剂及录取办法和拟录取名单等。研究生招生复试工作在学校研究生招生工作领导小组领导下具体由研究生院组织实施。
(二)学校成立研究生复试工作督察组,分管副校长、纪委书记任组长,监督检查室主任、研究生院领导任副组长,成员由纪委监督检查室工作人员、研究生院工作人员、导师代表、各学院纪检委员等组成。负责对研究生复试调剂录取工作进行全程监督检查,受理有关申诉,依法维护考生和招生考试工作人员的合法权益,协调处理研究生招生复试录取工作中的问题。
(三)学校成立研究生招生复试突发事件应急管理领导小组(以下简称应急管理领导小组),校长为领导小组组长,分管校长为副组长,成员为研究生院、宣传部、学校疫情防控领导小组办公室、信息与教育技术中心、后勤管理处、保卫处、校医院等部门负责人。领导小组下设办公室,研究生院院长为办公室主任,分管院长为办公室副主任。
(四)教学学院复试工作实行院长(行政负责人)负责制。学院成立研究生招生复试工作领导小组、学科(专业)复试专家小组、思想品德考核小组、复试监督小组。
1.学院复试工作领导小组成员由教学学院领导、学科学位点负责人、研究生工作秘书等人组成。在学校研究生招生工作领导小组领导下负责本学院研究生招生复试、调剂和录取工作的组织、协调和管理。负责制定本学院研究生招生复试工作方案,研究生院审核通过后组织实施;负责本学院考生的资格审查工作;负责本学院考生思想政治素质和品德考核工作;根据学科(专业)特点组织成立各学科(专业)复试专家小组,指导复试专家小组进行相应的复试考核工作;负责审核各复试专家小组的复试记录、复试结果和复试的其他情况;审核拟接受调剂考生名单并报研究生院复核;根据初试、复试的综合成绩和思想品德考核结果,向学校研究生招生工作领导小组提出建议拟录取名单;负责对复试工作人员进行政策、业务、纪律等方面的培训,明确规矩,强化服务;负责处理本学院研究生招生复试、调剂和录取中的其他问题。
2.学科(专业)复试专家小组由学位点负责人、学位点导师代表等组成,命题教师与命题相关人员原则上不参与复试专家组。在学校研究生招生领导小组和学院复试工作领导小组指导下,具体负责本学科(专业)复试内容确定、复试题库建设及专业笔试与综合面试工作。复试专家小组成员5-7人(不含复试助理、复试秘书和外语能力测试专家)。根据参加复试考生人数情况可成立若干个复试专家小组。每个复试专家小组另须配备1名复试助理和1名复试工作秘书,负责考务协调、系统调试、网络技术保障及突发事件处理、复试资料准备、统分、现场记录收交等。
3.复试监督小组由教学学院党委书记、纪委书记、导师代表等组成,党委书记任组长。负责监督本学院复试、调剂和录取全过程和各环节工作。监督小组深入本学院复试现场,监督复试各环节工作。负责受理考生有关申诉等。考生复试申诉电话应在复试前向本学院考生公布。
4.学院思想品德考核小组由学院负责学生工作领导、辅导员、班主任等组成。负责审核考生政审材料;负责对考生进行面对面的交流,了解考生政治态度、思想表现、诚实守信等方面情况;结合政审材料和面对面交流,综合考察考生思想政治素质和品德,并向学院复试工作领导小组提交考核结果等。
四、复试内容
(一)资格审查。教学学院应在复试前对考生进行复试资格审查。对考生居民身份证、学历学位证书、学历学籍核验结果、学生证等报名材料原件及考生资格进行严格审查。考生在复试报到时,应提交以下材料:
1.第二代居民身份证(须交一份复印件);
2.初试准考证;
3.应届考生:注册后的学生证;《教育部学籍在线验证报告》的下载件;
4.往届考生:毕业证、学位证(须交一份复印件);《教育部学历证书电子注册备案表》的下载件,因毕业时间早而不能在线验证或学历校验未通过者,需提供教育部出具的《中国高等教育学历认证报告》;在境外获得学历或学位证书的考生需提供学历或学位证书以及教育部留学服务中心出具的《国外学历学位认证书》;
5.学历(学籍)信息核验有问题的考生,须提供国家权威机构出具的认证报告(《教育部学籍在线验证报告》《中国高等教育学历认证报告》或纸质认证报告);
6.“退役大学生士兵计划”考生须提供《入伍批准书》与《退出现役证》原件及复印件;
7.《赣南师范大学硕士研究生招生复试政治审查表》;
8.线下复试考生提供一寸免冠照片2张(用于复试资格审查表等);
9.考生除提交以上材料外,还可提供前置学历学习成绩单原件或复印件(加盖学校教务部门公章或单位档案管理部门公章)、获得的重要荣誉证书以及科研成果等业绩材料。荣誉证书及业绩材料交相应教学学院统一查阅(此项材料非必须)。
如采取线上复试,教学学院在复试前通知考生提供以上材料(材料均为原件扫描件或照片电子版),同时按要求将材料上传到线上面试系统。教学学院应在复试前登陆线上复试系统审核考生复试资格。在开学时,学校对上述材料的原件进行集中审核;审核未通过者,取消入学资格。
复试资格审查工作由教学学院负责,学院应对考生身份证、毕业证、学生证等原件材料以及复试资格进行认真审查,并以书面形式将审查结果报研究生院。对不符合复试资格者,不予复试。
(二)体检:我校拟录取考生名单公布后,已被拟录取的考生按照我校公布的体检方案至二甲(含)以上级别的公立医院体检,并在拟录取名单公布后5天内将体检结果以邮寄的方式提交给报考学院负责老师。体检标准参照教育部、原卫生部、中国残联印发的《普通高等学校招生体检工作指导意见》(教学〔2003〕3号)要求,按照《教育部办公厅卫生部办公厅关于普通高等学校招生学生入学身体检查取消乙肝项目检测有关问题的通知》(教学厅〔2010〕2号)等相关规定执行。教学学院将本学院考生体检结果汇总报研究生院,研究生院统一汇总后报校医院,由校医院根据考生体检结果,提出考生体检是否合格的报告。体检不计入复试成绩,体检不合格者,取消拟录取资格。开学报到后学校将再次组织体检,体检不合格者取消入学资格或取消学籍。
(三)心理素质测试:心理素质测试在面试之前完成。具体实施方案由教育科学学院和心理咨询与健康教育中心制定,由各教学学院组织实施。采用线上测试方式进行,结果不计入复试总成绩,提供给学院建立学生心理健康档案。
(四)复试具体内容及要求:复试具体内容包含外语能力测试、专业笔试和综合面试三部分内容。外语能力测试、专业笔试、综合面试各部分成绩满分分别为50分、100分、100分。
一般包含以下内容和要求:
1.外语能力测试:主要考核考生运用英语知识与技能进行听说交际的能力,测试内容包括段落朗读和问答交流两部分。
英语语言文学、日语语言文学和翻译专业的外语能力测试由外国语学院组织,具体方案由外国语学院制定并公布。非英语专业的外语能力测试由研究生院统一组织,外国语学院负责制定测试方案和安排测试专家,教学学院具体实施。具体实施方案见《赣南师范大学2023年非英语专业硕士研究生英语综合能力测试方案》。如教学学院有符合条件的英语能力测试专家,也可由教学学院自行制定测试方案并安排测试专家。外语能力测试总分50分。
2.专业笔试:主要考核本学科(专业)理论知识和专业技能掌握,以及利用所学理论发现、分析和解决问题的能力。如采用线下复试,专业笔试以线下笔试方式进行,由各教学学院组织,笔试科目见招生简章公布的复试笔试科目,以闭卷形式进行,满分100分,考试时间为2小时。特殊专业的笔试安排由教学学院自行确定。
3.综合面试。主要考察考生的专业素养、培养潜质、科研创新(实践)能力和综合素质。学科(专业)以外的学习、科研、社会实践(社团活动、志愿服务等)以及责任感、纪律性、协作性、人文素养与礼仪举止等。教育硕士专业学位研究生的综合面试应包含说课环节,其它专业学位研究生的综合面试需有实践环节考核。综合面试总分100分,每生测试时间不少于15分钟。
如采用线上远程复试,专业笔试形式由各教学学院根据专业特点自主选择,可采取线上远程笔试方式,也可以口头作答方式,测试内容来源于招生简章公布的复试笔试科目,专业笔试与综合面试总分各100分。
4.建立试题库和评分标准。学院应针对复试各项内容建立试题库。外语能力测试题库由外国语学院建立(自行组织外语能力测试的,由学院负责),专业笔试和综合面试试题库由教学学院建立。学院应针对各项测试内容制定答题要点、详细的评分标准和评分表格。
5.复试专家组成。外语能力测试专家组由外国语学院教师组成(自行组织外语能力测试的,由学院负责)。综合面试专家组由学科(专业)复试专家小组成员组成。各专家组分别对所负责测试内容现场单独打分。
6.复试工作场地。复试工作应在符合复试技术和保密要求的场地开展。复试工作全程录音录像,复试各环节情况应有记录,复试全过程材料学院妥善保存。专家签字的评分表、统分表以及复试全过程录音录像资料于复试结束后交研究生院备查。
7.如采用线上远程复试,在复试过程中,遇到短暂的网络故障、卡顿等情形,由复试专家组组长现场判断做出延长复试时间决定。遇到严重网络故障时,由专家组集体判断,如确属客观原因且影响考核的,报学院复试工作领导小组同意,可提供重考的机会,重新随机抽取试题,重新考试,保证考生权益。
(五)同等学力考生加试:同等学力考生(含本科结业生和高职高专毕业后满2年)、成人教育应届本科毕业生及复试时尚未取得本科毕业证书的自考和网络教育考生,在复试时须加试两门与报考专业相关的本科主干课程。加试科目见《赣南师范大学2023年硕士研究生招生简章》。
同等学力加试在综合面试之前完成。采用笔试形式。具体组织方式由教学学院确定。每门科目考试时间为90分钟,满分100分,60分为合格。加试成绩不计入复试成绩,任何一门加试不合格者,不予录取。
(六)部分跨专业考生加试。跨专业报考考生是否加试由相关教学学院确定。跨专业加试采用笔试方式进行,在综合面试之前完成。具体加试内容和要求由学院确定。学院应制定跨专业加试方案,提前向考生公布并报研究生院备案。加试成绩不计入复试成绩,加试不合格者,不予录取。
(七)部分考生思想政治理论考试:报考旅游管理、会计专业学位的考生复试时需参加思想政治理论考试,采取笔试方式进行,在综合面试之前完成。试卷满分为100分,考试时间为2小时。思想政治理论成绩计入复试总成绩。考试命题、阅卷及考试组织由相应教学学院负责。
(八)思想政治素质和品德考核:思想品德考核小组在面试前对考生提交的政审材料进行审查,并与考生进行面对面交流,全面了解考生思想政治情况,结合考生现实表现材料,做出考生思想政治素质和品德考核结论。
五、复试时间与费用
1.复试工作分批次进行。第一志愿考生复试时间初步安排在3月30日之前完成;调剂志愿考生复试在4月20日之前完成。根据我校复试录取进度,拟进行两到三批复试。具体分批次复试具体时间安排及要求另行公布。
2.复试期间的食宿费、往返交通费等由考生自理。
六、调剂
学校研究生招生调剂工作的具体要求按教育部2023年研究生招生工作管理规定以及江西省教育考试院2023年研究生招生调剂、录取政策有关规定执行。
(一)调剂基本条件
1.符合调入专业的报考条件。
2.初试成绩(含加分,下同)符合第一志愿报考专业在A类考生的《全国初试成绩基本要求》且满足调入专业在A类考生的《全国初试成绩基本要求》。
3.调入专业与第一志愿报考专业相同或相近,应在同一学科门类范围内(可授不同学科门类学位的专业可跨门类在对应专业所属一级学科范围内调剂,但需同时满足调出专业和调入专业复试线)。
4.初试科目与调入专业初试科目相同或相近,其中初试全国统一命题科目应与调入专业全国统一命题科目相同。
5.考生从专项计划调至普通计划,属于调剂范围,原则上应当按照调剂的程序和相关要求执行。
(二)调剂工作程序与要求
1.国家复试分数线确定后,学校根据第一志愿上线考生情况,结合招生计划确定并公布接受调剂考生专业信息。
2.教学学院应根据国家政策和学校相关规定制定调剂工作实施办法并报研究生院审核,审核通过后向考生公布。教学学院研究生招生调剂工作在学院研究生招生工作小组领导下具体由研究生工作秘书负责。调剂服务系统开通后,教学学院应及时登录调剂系统查看考生填报信息,及时与考生沟通,做好咨询与服务工作。
3.每次开放调剂系统持续时间不低于12个小时,并根据复试工作进度及时更新国家调剂服务系统的调剂专业信息。报考我校的调剂生调剂志愿锁定时间为36小时。36小时内未被选入复试备选库的考生,可自行改报其他志愿。
4.对申请同一招生单位同一专业、初试科目完全相同的调剂考生,应当按考生初试成绩择优确定进入复试的考生名单,不得简单以考生提交调剂志愿的时间先后顺序等非学业水平标准作为遴选依据。优先调剂与调入专业初试科目完全相同的调剂考生。生源充足的专业调剂比例不低于1∶1.5。
5.教学学院须在确认本专业调剂系统关闭后,方可从调剂志愿库中按照上级政策要求和学校及学院调剂工作方案,择优选择调剂复试考生名单。
6.教学学院调剂考生名单选定后,经教学学院复试工作领导小组审核,并将审核通过后的名单放入复试备选库,并将领导签字盖章后纸质名单报研究生院。
7.研究生院对各学院审核通过后的名单进行复审,复审通过后发送复试通知。调剂考生必须通过“全国硕士研究生招生调剂服务系统”进行。凡未通过国家调剂服务系统报名的调剂一律无效(教育部规定的特殊情况除外)。
8.考生登陆研招网调剂服务系统,点击接受复试通知并按照学校规定参加复试。
9.复试合格的拟录取考生由研究生院发送“待录取”通知,考生在学校规定时间内登录调剂系统接受待录取。
10.未按照要求在规定时间内确认“复试通知”和“待录取通知”的考生,将在确认时间截止后取消相应资格。
11.学校根据调剂录取工作进度及时更新调剂专业信息并开放(关闭)相关专业调剂系统。
(三)调剂生源充足的学术学位相关专业原则上不接收专业学位考生调剂,具体由教学学院根据相关专业调剂生源情况确定并报研究生院审定后向考生公布。
(四)不得任意圈定调剂复试考生范围,不得以考生提交调剂志愿的时间先后顺序,或考生所在单位、行业、地域、学校层次类别等非学业水平标准作为遴选条件,也不得设置其他歧视性条件。
七、复试成绩计算及结果公布
1.复试外语能力测试、专业笔试、综合面试各部分成绩比为0.5∶1∶1。
2.旅游管理、会计专业复试成绩由外语能力测试、专业笔试、综合面试、思想政治理论成绩四部分构成;其他专业复试成绩由外语能力测试、专业笔试、综合面试三部分组成。外语能力测试成绩低于30分、综合面试成绩低于60分或复试总成绩低于150分(旅游管理、会计专业低于210分),视为复试不合格,不予录取。
3.初试成绩与复试成绩比。
线下复试:初试成绩与复试成绩之比为6∶4;
线上复试:初试成绩与复试成绩之比为7∶3。
4.入学考试总成绩计算方法为:
线下复试:
旅游管理、会计专业考生:初试成绩÷3×60%+复试成绩÷3.5×40%;
其它专业考生:初试成绩÷5×60%+复试成绩÷2.5×40%。
线上复试:
旅游管理、会计专业考生:初试成绩÷3×70%+复试成绩÷3.5×30%;
其它专业考生:初试成绩÷5×70%+复试成绩÷2.5×30%。
5.复试结束后3天内在研究生院公告栏和网站上公布复试结果,公示时间为10个工作日,名单如有变动,对变动部分作说明并对变动内容另行公示10个工作日。
八、录取
1.教学学院研究生招生复试工作小组按照《2023年全国硕士研究生招生工作管理规定》要求以及江西省教育考试院的有关规定,根据学校硕士研究生招生计划、复试录取办法以及考生初试和复试成绩、思想政治表现等择优确定拟录取名单并报研究生院审核。第一志愿考生和调剂考生(含校内调剂)分别排序,第一志愿考生优先录取。分方向下达计划的,分方向排序录取。相同专业的全日制考生和非全日制考生分别排序,分类录取。符合录取条件考生的初试成绩、复试成绩折算为总成绩,总成绩四舍五入保留至小数点后两位,按照从高分到低分依次录取。最后一名总成绩并列时,则按不进行四舍五入的情况下比较总成绩,取总成绩高者,如果不进行四舍五入的情况下,总成绩仍相同,则取初试成绩中专业课成绩高者。不符合录取条件的考生复试结果列于最后,不进行排序。
2.“退役大学生士兵专项硕士研究生招生计划”考生单独排名录取。
3.考生的拟录取类别分为全日制(定向)、全日制(非定向)、非全日制(定向)。录取为非全日制学习方式的考生只能就读非全日制(定向)类别且原则上应为在职人员。
4.拟录取名单确定后,录取类别为全日制(非定向)的考生应在我校规定时间(复试结果公示后15天,下同)内将本人人事档案寄送至我校研究生院,以便对考生政治思想情况进行全面审查。录取类别为全日制(定向)和非全日制(定向)的考生,应在规定时间内与用人单位和我校分别签订定向就业协议书,并将签字盖章后的协议书寄送至我校研究生院。未能在规定时间内寄送人事档案或办理好定向培养协议者,取消拟录取资格,不予录取。
考生因报考硕士研究生与所在单位产生的问题由考生自行处理。若因此造成考生不能复试或无法录取,学校不承担责任。
5.第一志愿复试和第一批调剂复试后,尚未完成的招生计划,由研究生院收回统筹。如分专业(方向)招生计划有追加或有拟录取考生放弃拟录取资格,则从该专业(方向)符合录取条件的候补考生中从高分到低分依次递补。不进行再次复试。
6.被录取的新生,经考生本人申请和学校同意后可以保留入学资格,工作1至2年,再入学学习。
7.新生应按时报到。不能按时报到者,须有正当理由和有关证明,并向学校请假。无故逾期2周不报到者,取消入学资格。
8.应届本科毕业生及自学考试和网络教育届时可毕业本科生考生,入学时(9月1日前)未取得国家承认的本科毕业证书者,录取资格无效。
9.拟录取名单经公示后报学校研究生招生工作领导小组审定。
10.对在报名、初试、复试、录取中有违规或作弊行为的考生,将根据国家有关法律、法规和教育部有关规定进行处理。对弄虚作假者,一经查实,即按有关规定取消复试、录取资格。
九、复试的监督和复议
1.实行复试录取监督制度。复试录取监督贯穿研究生复试、调剂、录取全过程。复试全过程录音录像。
2.复试及录取工作实行回避制度。凡有近亲属(包括配偶、父母、子女、兄弟姐妹、祖父母、外祖父母、孙子女、外孙子女等)参加复试的人员,不得参与复试及录取的有关工作并应主动如实报告。
3.实行责任追究制度。所有参与复试录取工作的人员都应认真执行教育部有关硕士生招生录取工作的政策及本《办法》,严格遵守纪律,切实维护复试录取工作的公平、公正,对违反规定行为的单位和当事人,一律按《普通高等学校招生违规行为处理暂行办法》(教育部令第36号)进行处理,并追究直接责任人员的责任,造成严重后果和恶劣影响的,还将按规定对有关责任人实行问责。
4.实行复议制度。考生如对复试结果有异议,可在复试结果公布后5天内向研究生院提出书面复议申请。
研究生院在接到正式复议申请后5个工作日内,会同学校纪委监督检查部门对申请人提出的问题进行调查、处理。对投诉和申诉问题经调查属实的,由学校研究生招生工作领导小组责成教学学院复试工作领导小组进行复议,并在3个工作日内将复议结果以书面方式报研究生院,由研究生院向考生反馈复议结果。
研究生招生复试咨询及申诉电话:研究生院:0797—8393666;纪委综合办公室、监督检查室:0797—8393623。
十、相关要求
1.教学学院要科学制定复试工作方案。复试方案应包含调剂实施细则、复试各项内容安排及具体要求、组织方式、本学院复试工作详细日程安排等内容。复试工作方案经研究生院审核后由研究生院统一向考生公布。
2.教学学院要根据各学科专业特点,根据复试方式及要求,精心设计复试内容,确保复试考核科学有效、公平公正。要通过考生大学学习成绩单、毕业论文、科研及实践成果等补充材料,加强对考生既往学业、一贯表现、科研能力、综合素质和思想品德等情况的全面考查。尽可能采取综合性、开放性的能力型试题。
3.教学学院要严把复试资格审核关,考前要严格采取“两识别”(人脸识别、人证识别)、“四比对”(报考库、学籍学历库、人口信息库、诚信档案库数据比对)等措施,加强对考生特别是报考专项计划、申请加分等有关考生的身份审核,严防复试“替考”。对不符合规定者,不予复试。
4.教学学院要对所有复试涉考人员进行政策、业务培训和保密、纪律教育,明确工作纪律和程序、评判规则和标准,强化安全意识、纪律意识、法治意识和责任意识,确保复试、调剂及录取工作按照方案和程序进行。院长要分别与所有命题、阅卷人员签订《保密责任书》,要组织所有参与复试工作人员(含复试专家和考务人员)签订《廉政责任书》。
5.教学学院提前告知所有参加复试考生相关复试要求。如采用线上复试,要强化网络技术支持和安全保障,提前组织模拟演练及调试工作,确保线上复试安全、顺畅、稳定,要求考生提前做好线上复试相关条件准备(一部智能手机加一台笔记本电脑、或两部智能手机保证双机位监控,单人单间的线上面试环境,无线网络或4G网络等)。如采取线下复试,要落实校园公共区域日常卫生管理制度和消毒制度,保持复试场所换气和清洁消毒,并摆放公用消毒用品供考生自行使用。
6.教学学院要采取切实有效措施,加强复试过程监管,确保公平公正。考中要坚持并进一步完善“三随机”(随机选定考生次序、随机确定导师组组成人员,随机抽取复试试题)等管理方式。要加强复试导师的遴选、培训和管理,强化政策意识、保密意识、责任意识和法治意识,严防复试弄虚作假、徇私舞弊。坚决杜绝工作人员自行其是、擅自调整或破坏规则。要对复试全程进行录音录像,以备复查。要与考生逐一签订《诚信复试承诺书》,线上复试的考生还需签订《网络远程复试考场规则》知晓书,确保考生提交真实材料,遵守网络远程复试规则,诚信复试;要采用必要的技术手段和管理措施提高防范作弊水平,提前研究防范通过ChatGPT等AI技术作弊的有效措施。
十一、其它
1.在职考生必须提前处理好与所在单位因报考研究生所产生的问题。因上述问题产生后果,由考生本人负责。
2.对在复试过程中有违规行为的考生,一经查实,即按照《国家教育考试违规处理办法》《普通高等学校招生违规行为处理暂行办法》等规定严肃处理,取消录取资格,记入《考生考试诚信档案》。
3.学校认为有必要时,可对考生再次复试。
4.入学3个月内,学校将按照《普通高等学校学生管理规定》有关要求,对所有考生进行全面复查。复查不合格的,取消学籍;情节严重的,移交有关部门调查处理。
5.线上复试各环节所需的网络技术服务和培训由学校信息与教育技术中心和研究生院共同负责。
6.如在校应届本科毕业生参加本校研究生招生线上复试,由相关教学学院、学工处、信息与教育技术中心共同做好网络复试场地、网络技术保障和组织工作。
7.学校设立研究生复试专项经费,用于线上复试网络平台服务等开支,保障复试各项工作顺利进行。
8.华南植物园与我校联合培养的研究生复试工作由我校生命科学学院(脐橙学院)统一组织实施。
9.本办法有关要求如与上级部门最新要求不一致,以上级部门最新要求为准。本办法由学校研究生招生工作领导小组负责解释。
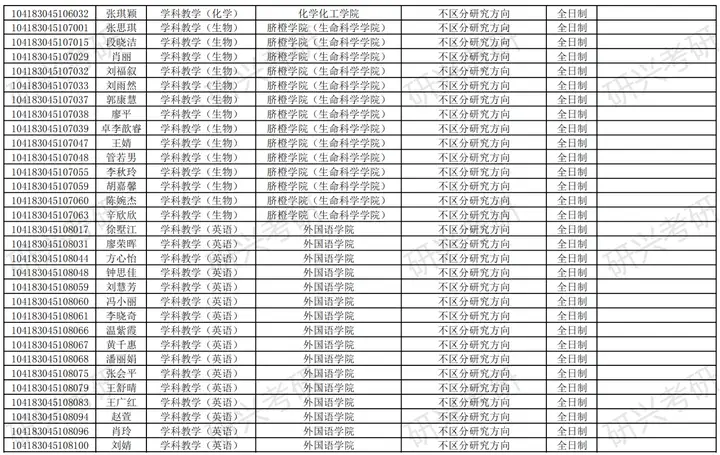
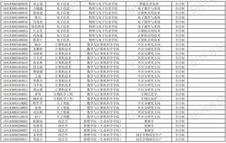
赣南师范大学2023年研究生招生一志愿复试考生名单




需要完整名单的,留言发送!赣南师范大学 2023 年研究生招生进入复试第一志愿 “大学生退役士兵计划”考生名单
赣南师范大学 2023 年研究生招生享受加分 政策考生名单公示

想要了解更多考研资讯,欢迎留言咨询

乐考韩老师
